搜索
题目内容
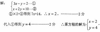
解方程组:
试题答案
相关练习册答案
练习册系列答案
中考复习信息快递系列答案
中考复习指导基础训练稳夺高分系列答案
中考攻略系列答案
南粤学典中考解读系列答案
中考解读考点精练系列答案
中考金牌3年中考3年模拟系列答案
中考精典系列答案
中考模拟卷江苏凤凰教育出版社系列答案
中考模拟试题汇编系列答案
中考内参系列答案
相关题目
(1)解方程组:
6x-3y=-3
5x-9y=-35
(2)二次函数图象过A、C、B三点,点A的坐标为(-1,0),点B的坐标为(4,0),点C在y轴正半轴上,且AB=OC.
①求C的坐标;
②求二次函数的解析式,并求出函数最大值.
解方程组和方程:
(1)
x+5=3(y-1)
5(x-1)=3(y+5)
;
(2)
x-4
0.2
-2.5=
x-3
0.05
.
解方程组:
4x+3y=1
2x-y=3
.
解方程组:
x+y+1=0
2
y
2
-
x
2
=2
解方程组
(1)
y=2x-1
x+y=2
(2)
2x+y=3
x-2y=4
.
关 闭
试题分类
高中
数学
英语
物理
化学
生物
地理
初中
数学
英语
物理
化学
生物
地理
小学
数学
英语
其他
阅读理解答案
已回答习题
未回答习题
题目汇总
试卷汇总
练习册解析答案