搜索
题目内容
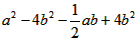
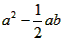
化简:
试题答案
相关练习册答案
解:原式=
=
练习册系列答案
课时提优计划作业本系列答案
长江全能学案同步练习册系列答案
红对勾讲与练系列答案
智秦优化360度训练法系列答案
优翼优干线系列答案
绩优课堂全优达标测试卷系列答案
100分闯关期末冲刺系列答案
绩优课堂单元达标创新测试卷系列答案
名校秘题冲刺卷系列答案
神龙牛皮卷期末100分闯关系列答案
相关题目
化简:
a
2
y
4
•
-
y
2
a
=
;
m-1
m+1
÷(1-m)
=
.
23、先化简,再求值:2x
2
y-(3xy
2
-4x
2
y+5xy
2
),其中x=1,y=-1.
27、已知a、b、c在数轴上的对应点如图所示,化简|a|-|a+b|+|c-a|+|b+c|.
已知xy<0,则
x
2
y
化简后为
.
有下列命题:(1)有一个角为60°的等腰三角形是等边三角形;(2)等腰梯形最多有两条边相等;(3)一组数据的方差越小说明这组数据的波动性越大;(4)化简二简根式
-
1
a
=-a
-a
.其中正确命题的个数有( )
A、1个
B、2个
C、3个
D、4个
关 闭
试题分类
高中
数学
英语
物理
化学
生物
地理
初中
数学
英语
物理
化学
生物
地理
小学
数学
英语
其他
阅读理解答案
已回答习题
未回答习题
题目汇总
试卷汇总
练习册解析答案