题目内容
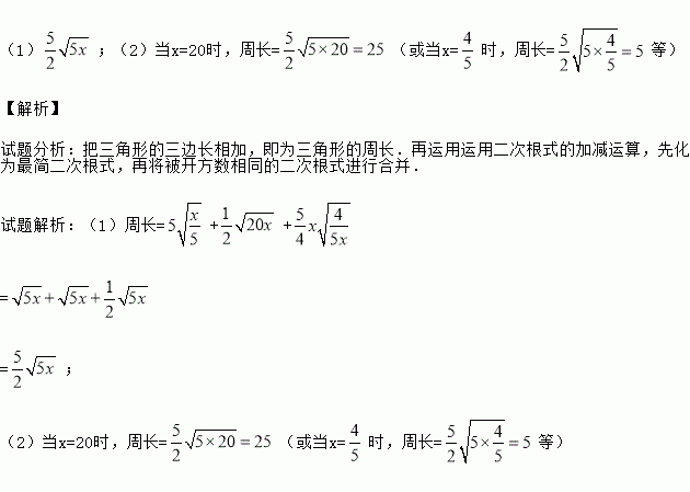
一个三角形的三边长分别为,,.
(1)求它的周长(要求结果化简);
(2)请你给出一个适当的x的值,使它的周长为整数,并求出此时三角形周长的值.
已知一个样本的方差S2= [(x1-30)2+(x2-30)2+…+(xn-30)2],其平均数为______.
主视图、左视图和俯视图完全相同的几何体是( )
A. (A) B. (B) C. (C) D. (D)
﹣2和它的相反数之间的整数有_____个.
下列方程中与方程2x﹣3=x+2的解相同的是( )
A. 2x﹣1=x B. x﹣3=2 C. 3x=x+5 D. x+3=2
已知实数x,y满足|x-4|+=0,则以x,y的值为两边长的等腰三角形的周长是_____.
计算:= .
如图,在△ABC中,若DE∥BC,,DE=4cm,求BC的长
如图,四边形ABCD是正方形,以CD为边作等边三角形CDE,BE与AC相交于点M,则∠AMD的度数是( )
A. 75° B. 60° C. 54° D. 67.5°