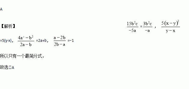
题目内容
下列分式,其中最简分式的个数是( )
A. 1个 B. 2个 C. 3个 D. 4个
在四张编号为A,B,C,D的卡片(除编号外,其余完全相同)的正面分别写上如图所示正整数后,背面朝上,洗匀放好,现从中随机抽取一张,不放回,再从剩下的卡片中随机抽取一张.
(1)请用树状图或列表的方法表示两次抽取卡片的所有可能出现的结果(卡片用A,B,C,D表示);
(2)我们知道,满足a2+b2=c2的三个正整数a,b,c成为勾股数,求抽到的两张卡片上的数都是勾股数的概率.
下面四个几何体中,其主视图不是中心对称图形的是( )
A. B. C. D.
若分式的值为0,则x=_______.
无论取什么数,总是有意义的分式是( )
如图,花丛中有一路杆.在灯光下,小鹏在点处的影长米,沿方向行走米到达点,这时小鹏的影长米.如果小鹏的身高为米,求路灯杆的高度(精确到米).
如图,平面直角坐标系xOy中,点A、B的坐标分别为(-4,0)、(-3,4),△A′B′O是△ABO关于的O的位似图形,且A′的坐标为(﹣6,0),则点B′的坐标为______.
甲、乙两工程队维修同一段路面,甲队先清理路面,乙队在甲队清理后铺设路面.乙队在中途停工了一段时间,然后按停工前的工作效率继续工作.在整个工作过程中,甲队清理完的路面长y(米)与时间x(时)的函数图象为线段OA,乙队铺设完的路面长y(米)与时间x(时)的函数图象为折线BC-CD-DE,如图所示,从甲队开始工作时计时.
(1)分别求线段BC、DE所在直线对应的函数关系式.
(2)当甲队清理完路面时,求乙队铺设完的路面长.
若-是m的一个平方根,则m+13的算术平方根是_______.