题目内容
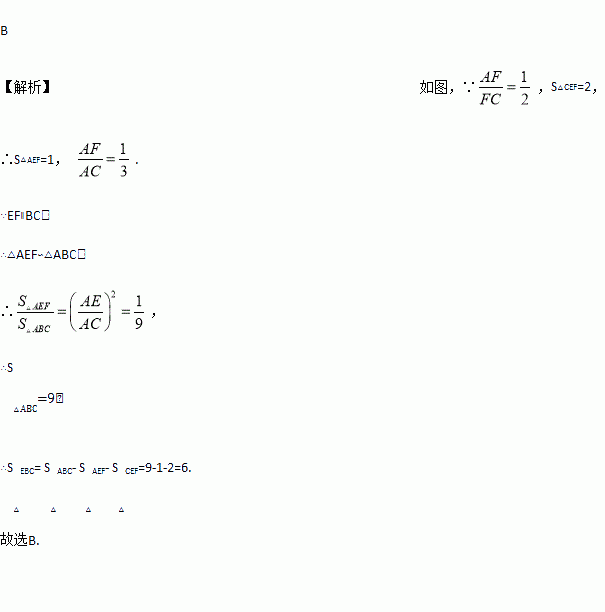
如图,在△ABC中,点E,F分别在边AB,AC上,EF∥BC, ,△CEF的面积为2,则△EBC的面积为( )
A. 4 B. 6 C. 8 D. 12
下列运算正确的是( )
A. 6a﹣5a=1 B. (a2)3=a5 C. 3a2+2a3=5a5 D. a6•a2=a8
( )2=16,(-)3= 。
如图,AD是△ABC的中线,点E在AC上,BE交AD于点F.某数学兴趣小组在研究这个图形时得到如下结论:当时, ;当时, ;当时, ……猜想:当时, 并说明理由.
如图,已知点A,B分别在反比例函数y1=-和y2=的图象上,若点A是线段OB的中点,则k的值为________.
已知△ABC∽△DEF,且周长之比为1∶9,则△ABC与△DEF的高的比为( )
A. 1∶3 B. 1∶9 C. 1∶18 D. 1∶81
如图,在平面直角坐标系中,A,B两点的纵坐标分别为7和1,直线AB与y轴所夹锐角为60°.
(1)求线段AB的长;
(2)求经过A,B两点的反比例函数的解析式.
点A(1,y1)、B(3,y2)是反比例函数y=图象上的两点,则y1、y2的大小关系是( )
A. y1>y2 B. y1=y2 C. y1<y2 D. 不能确定
长方体的主视图、俯视图如图所示(单位:m),则其左视图面积是( )
A. 4 B. 12 C. 1 D. 3