题目内容
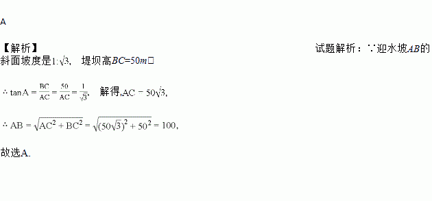
如图,某水库堤坝横断面迎水坡AB的斜面坡度是1:,堤坝高BC=50m,则迎水坡面AB的长度是( )
A. 100m B. 120m C. 50m D. 100m
如图,梯形ABCD中,AD∥BC,对角线AC、BD相交于O点,若S△AOD:S△ACD:=1:4,则S△AOD:S△BOC=( )
A. B. C. D.
计算:cos245°+tan30°•sin60°= .
已知:如图,有一块面积等于1200cm2的三角形纸片ABC,已知底边与底边BC上的高的和为100cm(底边BC大于底边上的高),要把它加工成一个正方形纸片,使正方形的一边EF在边BC上,顶点D、G分别在边AB、AC上,求加工成的正方形铁片DEFG的边长.
已知二次函数y=ax2+bx+c的图象如图所示,有以下结论:①a+b+c<0;②a﹣b+c>1;③abc>0;④4a﹣2b+c<0;⑤c﹣a>1.其中所有正确结论的序号是_____.
如图,为了测量河岸A,B两点的距离,在与AB垂直的方向上取点C,测得AC=a,∠ABC=α,那么AB等于( )
A. a•sinα B. a•cosα C. a•tanα D.
如图,已知网格上最小的正方形的边长为1.
(1)分别写出A,B,C三点的坐标;
(2)作△ABC关于y轴的对称图形△A′B′C′(不写作法),想一想:关于y轴对称的两个点之间有什么关系?
(3)求△ABC的面积.
已知2m+3n=5,则4m·8n=( )
A. 16 B. 25 C. 32 D. 64
如图,10个边长为1的正方形如图摆放在平面直角坐标系中,经过原点的一条直线l将这10个正方形分成面积相等的两部分,则该直线l的解析式为_____.