题目内容
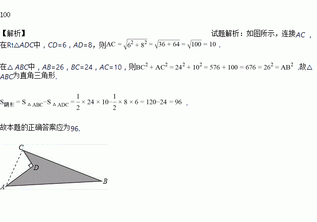
如图,AD=8,CD=6,∠ADC=90°,AB=26,BC=24,该图形的面积等于_____.
中国航空母舰“辽宁号”的满载排水量为67500吨.将数67500用科学记数法表示为( )
A. 0.675×105 B. 6.75×104 C. 67.5×103 D. 675×102
解下列方程:
(1); (2).
△ABC的三边长分别为:AB=2a2﹣a﹣7,BC=1O﹣a2,AC=a,
⑴求△ABC的周长(请用含有a的代数式来表示);
⑵当a=2.5和3时,三角形都存在吗?若存在,求出△ABC的周长;若不存在,请说出理由;
⑶若△ABC与△DEF成轴对称图形,其中点A与点D是对称点,点B与点E是对称点,
EF=4﹣b2,DF=3﹣b,求a﹣b的值.
在Rt△ABC中,∠ACB=90°,CD⊥AB于D,AC=20,BC=15,
(1)求AB的长;
(2)求CD的长.
已知一个等腰三角形的两边长分别为3和6,则该等腰三角形的周长是____.
下列四个图形分别是节能、节水、低碳和绿色食品标志,是轴对称图形的是( )
A. B. C. D.
一组数据:2,3,4,5,6的方差是 ____
解方程:.