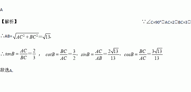
题目内容
如果在中, ,那么下列各式正确的是
A. B. C. D.
如图所示,直线AB与CD相交于点O,OE平分∠AOD,∠BOC=80°,求∠BOD和∠AOE的度数.
如图所示的几何体是由四个完全相同的正方体组成的,这个几何体的俯视图是
如图所示,某数学活动小组选定测量小河对岸大树BC的高度,他们在斜坡上D出测得大树顶端B的仰角是若坡角求大树的高度结果保留整数,参考数据:
如图,为了测量河宽假设河的两岸平行,测得,则河宽AB为______ 结果保留根号.
如果把一个锐角的三边的长都扩大为原来的3倍,那么锐角A的余切值
A. 扩大为原来的3被 B. 缩小为原来的
C. 没有变化 D. 不能确定
如图,小明和小丁做游戏,分别旋转两个转盘,当两个转盘所转到的数字之积为奇数时,小明得2分,当所转到的数字之积为偶数时,小丁得1分,这个游戏公平吗?______ .
已知ax=5,ax+y=25,求ax+ay的值.
x n . xn+1 等于( )
A. x2n.x5 B. x2n+1.x C. x2n+1 D. 2xn.x