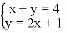
题目内容
已知方程组,则的值为( )
A. -1 B. 0 C. 2 D. 3
5月31日,参观上海世博会的游客约为505 000人,505 000用科学记数法表示为( )
A. 505×103 B. 5.05×103 C. 5.05×104 D. 5.05×105
如图,矩形ABCD中,AB=1,BC=2,点P从点B出发,沿B→C→D向终点D匀速运动,设点P走过的路程为x,△ABP的面积为S,能正确反映S与x之间函数关系的图象是( )
A. B.
C. D.
(1)计算:
(2)解方程组:
不等式组的解集在数轴上表示正确的是( )
在平面直角坐标系中,O为原点,点A(1,0),点B(0, ),把△ABO绕点O顺时针旋转,得A′B′O,记旋转角为α.
(Ⅰ)如图①,当α=30°时,求点B′的坐标;
(Ⅱ)设直线AA′与直线BB′相交于点M.
如图②,当α=90°时,求点M的坐标;
②点C(﹣1,0),求线段CM长度的最小值.(直接写出结果即可)
如图,在△ABC中,∠CAB=75°,在同一平面内,将△ABC绕点A旋转到△AB′C′的位置,使得CC′∥AB,则∠BAB′=( )
A. 30° B. 35° C. 40° D. 50°
(1)如图(1),已知:在△ABC中,∠BAC=90°,AB=AC,直线m经过点A,BD⊥直线m, CE⊥直线m,垂足分别为点D、E.证明:DE=BD+CE.
(2) 如图(2),将(1)中的条件改为:在△ABC中,AB=AC,D、A、E三点都在直线m上,并且有∠BDA=∠AEC=∠BAC=,其中为任意锐角或钝角.请问结论DE=BD+CE是否成立?如成立,请你给出证明;若不成立,请说明理由.
(3)拓展与应用:如图(3),D、E是D、A、E三点所在直线m上的两动点(D、A、E三点互不重合),点F为∠BAC平分线上的一点,且△ABF和△ACF均为等边三角形,连接BD、CE,若∠BDA=∠AEC=∠BAC,试判断△DEF的形状.
某口袋中有红色、黄色、蓝色玻璃球共72个,小明通过多次摸球试验后,发现摸到红球、黄球、蓝球的频率为35%、25%和40%,估计口袋中黄色玻璃球有 个。