ÌâÄ¿ÄÚÈÝ
ijÌ죬СÃ÷À´µ½ÌåÓý¹Ý¿´ÇòÈü£¬½ø³¡Ê±£¬·¢ÏÖÃÅÆ±»¹ÔÚ¼ÒÀ´ËʱÀë±ÈÈü¿ªÊ¼»¹ÓÐ25·ÖÖÓ£¬ÓÚÊÇÁ¢¼´²½ÐлؼÒȡƱ£¬Í¬Ê±£¬Ëû¸¸Ç×´Ó¼ÒÀï³ö·¢Æï×ÔÐгµÒÔСÃ÷3±¶µÄËٶȸøËûËÍÆ±£¬Á½ÈËÔÚ;ÖÐÏàÓö£¬ÏàÓöºóСÃ÷Á¢¼´×ø¸¸Ç×µÄ×ÔÐгµ¸Ï»ØÌåÓý¹Ý£¬Í¼ÖÐÏß¶ÎAB¡¢OB·Ö±ð±íʾ¸¸×ÓÁ©ËÍÆ±¡¢È¡Æ±¹ý³ÌÖУ¬ÀëÌåÓý¹ÝµÄ·³Ìs£¨Ã×£©ÓëËùÓÃʱ¼ät£¨·Ö£©Ö®¼äµÄº¯Êý¹ØÏµ£¬½áºÏͼ½â´ðÏÂÁÐÎÊÌ⣨¼ÙÉèÆï×ÔÐгµºÍ²½ÐеÄËÙ¶ÈʼÖÕ±£³Ö²»±ä£©¡£
£¨1£©ÇóµãBµÄ×ø±êºÍABËùÔÚÖ±Ïߵĺ¯Êý¹ØÏµÊ½£»
£¨2£©Ð¡Ã÷ÄÜ·ñÔÚ±ÈÈü¿ªÊ¼Ç°µ½´ïÌåÓý¹Ý£¿
£¨2£©Ð¡Ã÷ÄÜ·ñÔÚ±ÈÈü¿ªÊ¼Ç°µ½´ïÌåÓý¹Ý£¿
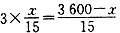
½â£º£¨1£©´ÓͼÏó¿ÉÒÔ¿´³ö£º¸¸×ÓÁ©´Ó³ö·¢µ½ÏàÓö»¨·ÑÁË15·ÖÖÓ¡£É踸×ÓÁ©ÏàÓöʱ£¬Ð¡Ã÷×ß¹ýµÄ·³ÌΪxÃ×
Ôò
½âµÃx=900
ËùÒÔµãBµÄ×ø±êΪ£¨15£¬900£©£»
ÉèÖ±ÏßABµÄº¯Êý¹ØÏµÊ½Îªs=kt+b£¨k¡Ù0£©
ÓÉÌâÒ⣬ֱÏßAB¾¹ýµãA£¨0£¬3600£©¡¢B£¨15£¬900£©£¬µÃ
£¬½âµÃ
¡àÖ±ÏßABµÄº¯Êý¹ØÏµÊ½Îªs=-180t+3600£»
£¨2£©ÔÚs=-180t+3600ÖУ¬Áîs=0£¬µÃ0=-180t+3600£¬½âµÃt=20
¼´Ð¡Ã÷µÄ¸¸Ç×´Ó³ö·¢µ½ÌåÓý¹Ý»¨·ÑµÄʱ¼äΪ20·ÖÖÓ£¬Òò¶øÐ¡Ã÷ȡƱµÄʱ¼äҲΪ20·ÖÖÓ
¡ß20<25
¡àСÃ÷ÄÜÔÚ±ÈÈü¿ªÊ¼Ç°µ½´ïÌåÓý¹Ý¡£
Ôò
½âµÃx=900
ËùÒÔµãBµÄ×ø±êΪ£¨15£¬900£©£»
ÉèÖ±ÏßABµÄº¯Êý¹ØÏµÊ½Îªs=kt+b£¨k¡Ù0£©
ÓÉÌâÒ⣬ֱÏßAB¾¹ýµãA£¨0£¬3600£©¡¢B£¨15£¬900£©£¬µÃ
¡àÖ±ÏßABµÄº¯Êý¹ØÏµÊ½Îªs=-180t+3600£»
£¨2£©ÔÚs=-180t+3600ÖУ¬Áîs=0£¬µÃ0=-180t+3600£¬½âµÃt=20
¼´Ð¡Ã÷µÄ¸¸Ç×´Ó³ö·¢µ½ÌåÓý¹Ý»¨·ÑµÄʱ¼äΪ20·ÖÖÓ£¬Òò¶øÐ¡Ã÷ȡƱµÄʱ¼äҲΪ20·ÖÖÓ
¡ß20<25
¡àСÃ÷ÄÜÔÚ±ÈÈü¿ªÊ¼Ç°µ½´ïÌåÓý¹Ý¡£
Á·Ï°²áϵÁдð°¸
Ïà¹ØÌâÄ¿