题目内容
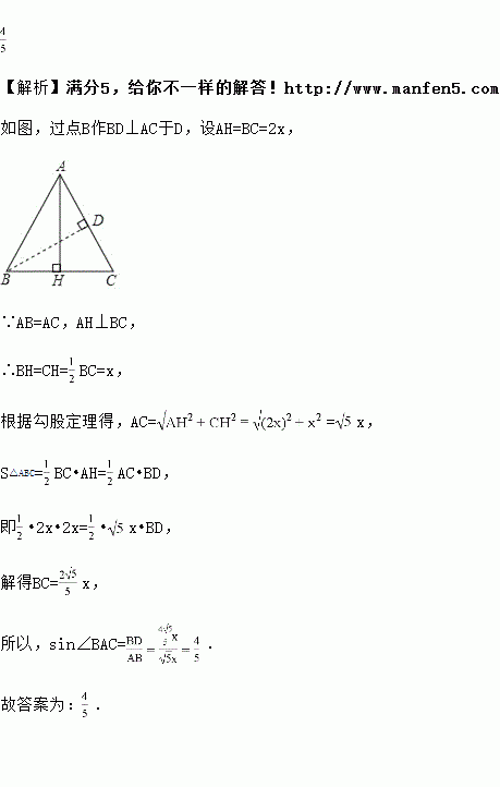
如图,在△ABC中,AB=AC,AH⊥BC,垂足为点H,如果AH=BC,那么sin∠BAC的值是____.
已知与的和是单项式,则式子4m-24的值是( )
A. 20 B. -20 C. 28 D. -2
如图,下面是用火柴棍摆的正方形,请你仔细观察第n个图形中共有 根(用n的代数式表示)火柴棍。
﹣2018的绝对值的相反数是( )
A. B. ﹣ C. 2018 D. ﹣2018
如图,一条公路的两侧互相平行,某课外兴趣小组在公路一侧AE的点A处测得公路对面的点C与AE的夹角∠CAE=30°,沿着AE方向前进15米到点B处测得∠CBE=45°,求公路的宽度.(结果精确到0.1米,参考数据:≈1.73)
如图,在四边形ABCD中,如果∠ADC=∠BAC,那么下列条件中不能判定△ADC和△BAC相似的是( )
A. ∠DAC=∠ABC B. AC是∠BCD的平分线 C. AC2=BC•CD D.
在下面给出的数轴中,点 A 表示 1,点 B 表示-2,回答下面的问题:
(1)A、B 之间的距离是 ;
(2)观察数轴,与点 A 的距离为 5 的点表示的数是: ;
(3)若将数轴折叠,使点 A 与-3 表示的点重合,则点 B 与数 表示的点重合;
(4)若数轴上 M、N 两点之间的距离为 2018(M 在 N 的左侧),且 M、N 两点经过(3)中折 叠 后 互 相 重 合 , 则 M 、 N 两 点 表 示 的 数 分 别 是 : M : ;N: .
杨梅开始采摘啦!每筐杨梅以5千克为基准,超过的千克数记为正数,不足的千克数记为负数,记录如图,则这4筐杨梅的总质量是( )
A. 19.7千克 B. 19.9千克 C. 20.1千克 D. 20.3千克
如图: =,D、E分别是半径OA和OB的中点,求证:CD=CE.