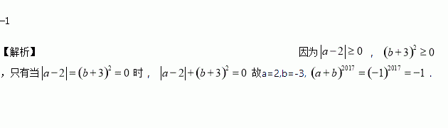
题目内容
若,则()2017 =______.
一条直线经过点(2,﹣1),且与直线y=﹣3x+1平行,则这条直线的解析式为____.
如图,在⊙O中,∠AOC=∠BOD,弧AD的度数为50°,求∠BOC的度数.
如图,正方形ABCD中,E是CD的中点,P是BC边上的一点,下列条件中,不能推出△ABP和△ECP相似的是( )
A. ∠APB=∠EPC B. ∠APE=90° C. BP:BC=2:3 D. P是BC中点
计算
(1)
(2)
(3)
(4)
(5)﹣9÷3+(﹣)×12﹣32
(6)
绝对值不大于4的所有整数的积为______.
如果,则是( )
A. 零 B. 负数 C. 正数或零 D. 负数或零
将两块直角三角尺的直角顶点重合为如图的位置, 若∠AOD=110°,则∠BOC=_______。
为了帮助云南昭通地震灾区重建家园,某校号召师生自愿捐款.第一次捐款总额为2400元,第二次捐款总额为6800元.已知第二次捐款人数是第一次的2倍,而且人均捐款额比第一次多20元.求第一次捐款的人数.