题目内容
我们知道,一元二次方程没有实数根,即不存在一个实数的平方等于
.若我们规定一个新数“
”,使其满足
(即一元二次方程
有一个根为
).例如:解方程
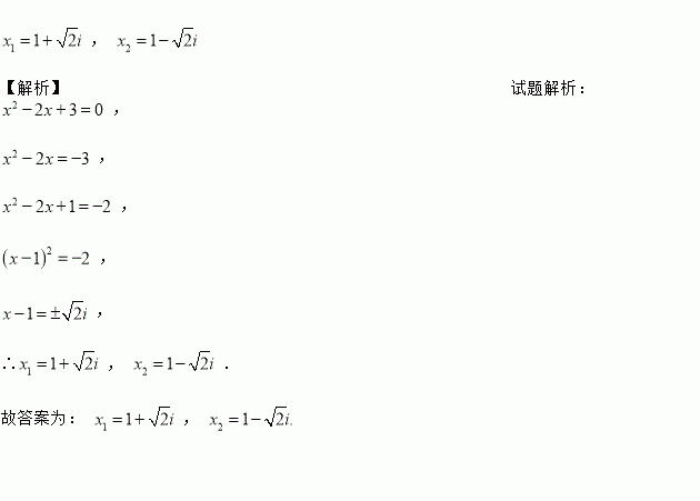
,【解析】
,
,
,
.所以
的解为:
,
.根据上面的解题方法,则方程
的解为__________.
练习册系列答案
相关题目
题目内容
我们知道,一元二次方程没有实数根,即不存在一个实数的平方等于
.若我们规定一个新数“
”,使其满足
(即一元二次方程
有一个根为
).例如:解方程
,【解析】
,
,
,
.所以
的解为:
,
.根据上面的解题方法,则方程
的解为__________.