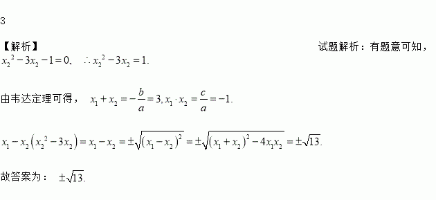
题目内容
设一元二次方程x2-3x-1=0的两根分别为x1,x2,则x1+x2(x22-3x2)=____.
练习册系列答案
相关题目
已知,如图,△ABC中,AB=2,BC=4,D为BC边上一点,BD=1.
(1)求证:△ABD∽△CBA;
(2)在原图上作DE∥AB交AC与点E,请直接写出另一个与△ABD相似的三角形,并求出DE的长.
![]()
二次函数y=ax2+bx+c的y与x的部分对应值如表:
X | … | 0 | 1 | 3 | 4 | … |
y | … | 2 | 4 | 2 | ﹣2 | … |
则下列判断中正确的是( )
A. 抛物线开口向上 B. y最大值为4
C. 当x>1时,y随著x的增大而减小 D. 当0<x<2时,y>2