搜索
题目内容
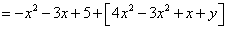
先化简,再求值:
-x
2
-(3x-5y)+[4x
2
-(3x
2
-x-y)],其中x=
,y=-
。
试题答案
相关练习册答案
解:
;
当
,原式=-3。
练习册系列答案
小单元复习手册系列答案
小考必备考前冲刺46天系列答案
钟书金牌寒假作业延边人民出版社系列答案
钟书金牌快乐假期寒假作业吉林教育出版社系列答案
智趣寒假作业云南科技出版社系列答案
智多星快乐寒假新疆美术摄影出版社系列答案
志鸿优化系列丛书寒假作业系列答案
芝麻开花寒假作业江西教育出版社系列答案
长江作业本寒假作业湖北教育出版社系列答案
长江寒假作业崇文书局系列答案
相关题目
先化简,再求值:
2a-6
a-2
÷(
5
a-2
-a-2)
,其中
a=-3
1
2
.
21、先化简,再求值:3x
2
+(2-3x-x
2
)-(x
2
+x-1),其中x=-1.
计算:(1)
2
(2cos45°-sin60°)+
24
4
.
(2)先化简,再求值
a
2
-1
a+3
÷
a+1
2
,其中a=2tan60°-3.
(1)先化简,再求值:
(x-
x
x+1
)
÷
(1+
1
x
2
-1
)
,其中x=
3
-1.
(2)解分式方程:解方程:
1
x-2
+3=
x-1
2-x
.
(3)解不等式组
x-2
3
+3<x-1 ①
1-3(x+1)≥6-x ②
先化简,再求值:
-9y+6
x
2
-3(y-
2
3
x
2
)
,其中x=2,y=-1.
关 闭
试题分类
高中
数学
英语
物理
化学
生物
地理
初中
数学
英语
物理
化学
生物
地理
小学
数学
英语
其他
阅读理解答案
已回答习题
未回答习题
题目汇总
试卷汇总
练习册解析答案