题目内容
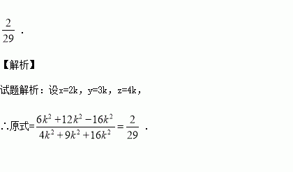
已知,则= .
如图,若数轴上的两点A、B表示的数分别为a、b,则下列结论正确的是( ).
A.b-a>0 B.a-b>0 C.ab>0 D.a+b>0
如图,A、B是双曲线y=上的两点,过A点作AC⊥x轴,交OB于D点,垂足为C,过B点作BE⊥x轴,垂足为E.若△ADO的面积为1,D为OB的中点,
(1)求四边形DCEB的面积。
(2)求k的值。
已知圆锥的底面半径长为5,侧面展开后得到一个半圆,则该圆锥的母线长为( )
A.2.5 B.5 C.10 D.15
有一道题,先化简,再求值:,其中“x=-2”,小亮同学做题时把“x=-2”错抄成“x=2”,但他的计算结果也是正确的,请你解释这是怎么回事.
分解因式:ab2-4a=____________________.
如果a2-8a+m是一个完全平方式,则m的值为( )
A.-4 B.16 C.4 D.-16
若与互为相反数,则= .
若一个三角形的三边长分别是xcm、(x+4)cm、(12-2x)cm,则x的取值范围是 .