题目内容
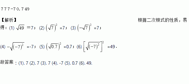
直接写出下列各式的结果:
(1) =_______; (2) _______; (3) _______;
(4) _______; (5) _______;(6) _______.
用直尺和圆规在如图所示的数轴上作出的点.
若一直角三角形两边长分别为12和5,则第三边长为( )
A. 13 B. 13或 C. 13或15 D. 15
的值等于( )
A. B. C. 1 D. -1
如果是二次根式,那么点的坐标为__________.
下列计算正确的有( ).
① ② ③ ④
A. ①、② B. ③、④ C. ①、③ D. ②、④
已知△ABC的三边分别为k2-1,2k,k2+1(k>1),求证:△ABC是直角三角形。
下列式子化为最简二次根式后和是同类二次根式的为
A. B. C. D.
下列式子正确的是( )
A. =±1.1 B. =-2 C. ± D.