题目内容
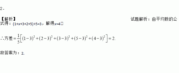
已知一组数据1,2,3,5,x,它的平均数是3,则这组数据的方差是______.
将 提公因式后,另一个因式是( )
A. a+2b B. -a+2b C. -a-b D. a-2b
如图,在直角坐标系xOy中,已知点A(0,1),点P在线段OA上,以AP为半径的⊙P周长为1.点M从A开始沿⊙P按逆时针方向转动,射线AM交x轴于点N(n,0),设点M转过的路程为m(0<m<1).
(1)当m=时,n=_____;
(2)随着点M的转动,当m从变化到时,点N相应移动的路径长为_____.
把x3-9x分解因式,结果正确的是 ( )
A. x(x2-9) B. x(x-3)2
C. x(x+3)2 D. x(x+3)(x-3)
解方程组:
下列命题中,是真命题的是( )
A. 算术平方根等于自身的数只有1
B. 斜边和一条直角边分别相等的两个直角三角形全等
C. 只有一个角等于60°的三角形是等边三角形
D. 是最简二次根式
下列计算,正确的是( )
A. =-2 B. C. D.
当m为何值时,关于x的方程5m+12x=6+x的解比关于x的方程x(m+1)=m(1+x)的解大2.
一个圆锥的轴截面平行于投影面,圆锥的正投影是△ABC,已知AB=AC=5cm,BC=6cm,求圆锥的体积和侧面积.