题目内容
斐波那契(约
)是意大利数学家,他研究了一列数:
,
,
,
,
,
,
这列数非常奇妙,被称为斐波那契数列(按照一定顺序排列着的一列数称为数列).后来人们在研究它的过程中,发现了许多意想不到的结果.在实际生活中,很多花朵(例如梅花、飞燕草、万寿菊等)的瓣数恰是斐波那契数列中的数.斐波那契数列还有很多有趣的性质,在实际生活中也有广泛的应用.斐波那契数列中的第
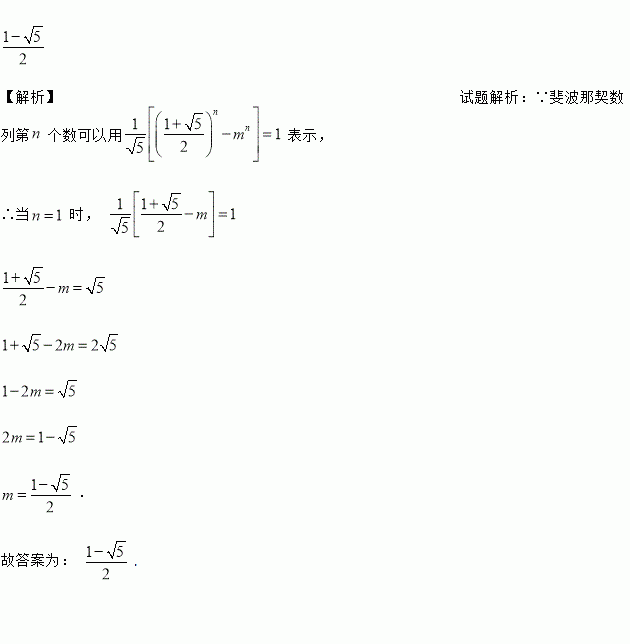
个数可以用
表示,则
__________.
![]()
练习册系列答案
相关题目
题目内容
斐波那契(约
)是意大利数学家,他研究了一列数:
,
,
,
,
,
,
这列数非常奇妙,被称为斐波那契数列(按照一定顺序排列着的一列数称为数列).后来人们在研究它的过程中,发现了许多意想不到的结果.在实际生活中,很多花朵(例如梅花、飞燕草、万寿菊等)的瓣数恰是斐波那契数列中的数.斐波那契数列还有很多有趣的性质,在实际生活中也有广泛的应用.斐波那契数列中的第
个数可以用
表示,则
__________.
![]()