题目内容
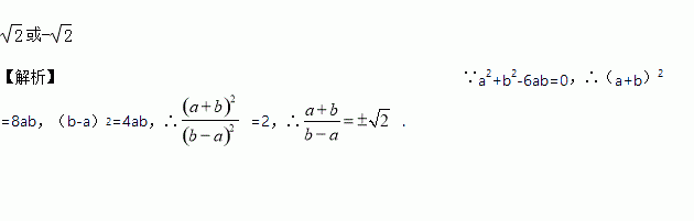
已知a+b-6ab=0(a>b),则=
如图,⊙O的直径长10,弦AB=8,M是弦AB上的动点,则OM的长的取值范围是( )
A. 3≤OM≤5 B. 4≤OM≤5 C. 3<OM<5 D. 4<OM<5
如图,在△ABC中,∠ACB=90°,BC的垂直平分线DE交BC于D,交AB于E,F在DE上,并且AF=CE.
(1)求证:四边形ACEF是平行四边形;
(2)当∠B满足什么条件时,四边形ACEF是菱形?请回答并证明你的结论.
如图,AB∥CD∥EF,AF∥CG,则图中与∠A(不包括∠A)相等的角有( )
A. 5个 B. 4个 C. 3个 D. 2个
如图,三沙市一艘海监船某天在黄岩鸟P附近海域由南向北巡航,某一时刻航行到A处,测得该岛在北偏东30°方向,海监船以20海里/时的速度继续航行,2小时后到达B处,测得该岛在北偏东75°方向,求此时海监船与黄岩岛P的距离BP的长.(参考数据: ≈1.414,结果精确到0.1)
函数 的自变量x的取值范围是___________.
在一次体检中,抽得某班8位同学的身高(单位:cm)分别为:166,158,171,165,175,165,162,169.则这8位同学身高的中位数和众数分别是( )
A. 170,165 B. 166.5,165 C. 165.5,165 D. 165,165.5
直角三角形两直角边长分别为5和12,则它斜边上的高为_______.
如图,折叠宽度相等的长方形纸条,若∠1=620,则∠2=_______度