题目内容
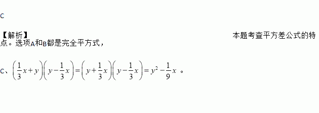
下列多项式乘法中可以用平方差公式计算的是( )
A. (﹣a+b)(a﹣b) B. (x+2)(2+x) C. (+y)(y﹣) D. (x﹣2)(x+1)
如图,在△ABC中,点O是AC边上的一个动点,过点O作直线MN∥BC,设MN交∠BCA的角平分线于点E,交∠BCA的外角平分线于点F.
(1)求证:EO=FO;
(2)当点O运动到何处时,四边形AECF是矩形?并证明你的结论.
若关于的方程的解是非负数,则应满足的条件是( )
A. B. C. D.
已知一个长方形的长为 5cm,宽为 xcm,周长为 ycm,则 y 与 x 之间的函数表达式为_________.
若 a=2017°,b=2015×2017﹣20162,c=(﹣)2016×()2017,则下列 a,b,c 的大小关系正确的是( )
A. a<b<c B. a<c<b C. b<a<c D. c<b<a
已知A,B两件服装的成本共500元,鑫洋服装店老板分别以30%和20%的利润率定价后进行销售,该服装店共获利130元,问A,B两件服装的成本各是多少元?
端午节时,王老师用72元钱买了荷包和五彩绳共20个.其中荷包每个4元,五彩绳每个3元,设王老师购买荷包x个,五彩绳y个,根据题意,列出的方程组是________.
二次函数y=a(x-k)2+k(a≠0),不论k为何实数,它的顶点都在直线__________上.