题目内容
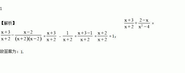
化简: = ___________.
方程x2=6x的根是( )
A. x1=0,x2=﹣6 B. x1=0,x2=6 C. x=6 D. x=0
解下列方程
(1)(用配方法) (2)
(3) (4)
将方程x2+8x+9=0配方后,原方程可变形为( )
A.(x+4)2=7 B.(x+4)2=25 C.(x+4)2=﹣9 D.(x+8)2=7
计算:
(1); (2).
计算: =___________.
计算的结果是( )
A.0 B.1 C.-1 D.x
某工厂现有80台机器,每台机器平均每天生产384件产品,现准备增加一批同类机器以提高生产总量,在试生产中发现,由于其他生产条件没变,因此每增加一台机器,每台机器平均每天将少生产4件产品.
(1)如果增加x台机器,每天的生产总量为y件,请你写出y与x之间的关系式;
(2)增加多少台机器,可以使每天的生产总量最大?最大生产总量是多少?
当x=______ 时, 与互为相反数.