题目内容
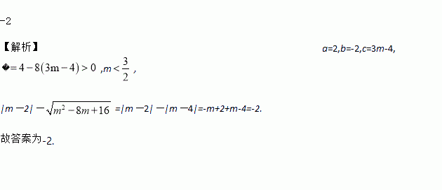
如果方程2x2-2x+3m-4=0有两个不相等的实数根,那么化简|m-2|-
的结果是______.
练习册系列答案
相关题目
某公司共25名员工,下表是他们月收入的资料.
月收入/元 | 45000 | 18000 | 10000 | 5500 | 4800 | 3400 | 3000 | 2200 |
人数 | 1 | 1 | 1 | 3 | 6 | 1 | 11 | 1 |
(1)该公司员工月收入的中位数是__ __元,众数是__ __元.
(2)根据上表,可以算得该公司员工月收入的平均数为6276元,你认为用平均数、中位数和众数中的哪一个反映该公司全体员工月收入水平较为合适?说明理由.
学校广播站要招聘1名记者,小明、小亮和小丽报名参加了3项素质测试,成绩如下表:
采访写作 | 计算机 | 创意设计 | |
小明 | 70分 | 60分 | 86分 |
小亮 | 90分 | 75分 | 51分 |
小丽 | 60分 | 84分 | 72分 |
现在要计算3人的加权平均分,如果将采访写作、计算机和创意设计这三项的权比由3∶5∶2变成5∶3∶2,成绩变化情况是( )
A. 小明增加最多 B. 小亮增加最多 C. 小丽增加最多 D. 三人的成绩都增加