题目内容
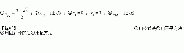
我们已经学习了一元二次方程的四种解法:因式分解法,开平方法,配方法和公式法.请从以下一元二次方程中任选一个,并选择你认为适当的方法解这个方程.
①;②;③;④.
计算:______.
如图,已知OA=OB,点C在OA上,点D在OB上,OC=OD,AD与BC相交于点E,那么图中全等的三角形共有( )
A. 2对 B. 3对 C. 4对 D. 5对
三角形三个内角的度数分别是(x+y)°,(x-y)°,x°,且x>y>0,则该三角形有一个内角为( )
A. 30°
B. 45°
C. 90°
D. 60°
已知△ABC中,∠A=20°,∠B=∠C,那么三角形△ABC是( )
A. 锐角三角形 B. 直角三角形 C. 钝角三角形 D. 正三角形
解一元二次方程x2+2x-3=0时,可转化为解两个一元一次方程,请写出其中的一个一元一次方程__________.
已知关于x的一元二次方程x2﹣bx+c=0的两根分别为x1=1,x2=﹣2,则b与c的值分别为【 】
A.b=﹣1,c=2 B.b=1,c=﹣2 C.b=1,c=2 D.b=﹣1,c=﹣2
定义:有三个内角相等的四边形叫三等角四边形三等角四边形ABCD中,,则的取值范围______.
如图,与是同位角的为
A. B. C. D.