题目内容
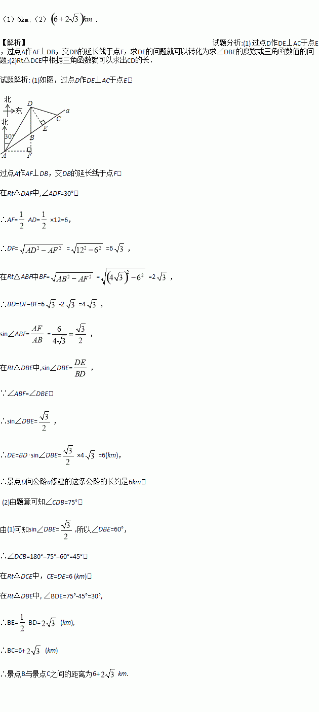
如图,我市云台山景区内一条笔直的公路a经过三个景点A、B、C,现在市政府决定开发风景优美的景点D.经测量景点D位于景点A的北偏东30º方向12km处,位于景点B的正北方向,还位于景点C的北偏西75º方向上.已知AB=
km.
![]()
(1)现准备由景点D向公路a修建一条距离最短的公路,不考虑其他因素,求出这条公路的长;
(2)求出景点B与景点C之间的距离(结果保留根号).
练习册系列答案
相关题目
题目内容
如图,我市云台山景区内一条笔直的公路a经过三个景点A、B、C,现在市政府决定开发风景优美的景点D.经测量景点D位于景点A的北偏东30º方向12km处,位于景点B的正北方向,还位于景点C的北偏西75º方向上.已知AB=
km.
![]()
(1)现准备由景点D向公路a修建一条距离最短的公路,不考虑其他因素,求出这条公路的长;
(2)求出景点B与景点C之间的距离(结果保留根号).