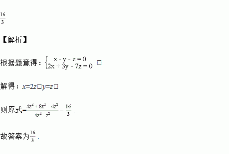
题目内容
已知x,y,z满足,则的值是______ .
下列方程中,解为x=2的是( )
A. 3x+6=3
B. ﹣x+6=2x
C. 4﹣2(x﹣1)=1
D.
如图,已知≌,,,,求的度数和EC的长.
如图,已知≌,其中,那么下列结论中,不正确的是
A. B. C. D.
阅读下面的解题过程:
已知:,求的值.
【解析】由知x≠0,所以,即x+=3.
所以=x2+=(x+)2﹣2=32﹣2=7.
故的值为.
该题的解法叫做“倒数法”,请你利用“倒数法”解决下面的题目:
若,则x的取值范围___________.
在、、、、、中,分式的个数有
A. 2个 B. 3个 C. 4个 D. 5个
计算:﹣()﹣1+(﹣1)﹣20080﹣|﹣2|.
老师为了考察甲,乙两个同学的聪明程度,就对这两名同学说:“我这里有三顶帽子,一顶是红颜色的,两顶是兰颜色的,老师把你们的眼睛蒙上并给每人戴一顶帽子,去掉蒙布 以后,你们只能通过看对方的帽子的颜色来猜自己所戴帽子的颜色.”说完,老师就按上述 过程操作.当两人都去掉蒙布以后,甲发现乙迟迟不说自己帽子的颜色,便说出了自己帽子的颜色.同学们,你能猜出甲帽子的颜色是什么并说明理由吗?
答:甲帽子颜色是: (填“红”或“兰”) 理由是: