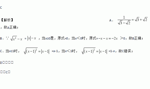
题目内容
下列选项错误的是( )
A. -的倒数是+ B. -x一定是非负数
C. 若x<2,则=1-x D. 当x<0时, 在实数范围内有意义
如图,晚上小亮在路灯下散步,在小亮由A处走到B处这一过程中,他在地上的影子( )
A. 逐渐变短 B. 逐渐变长 C. 先变短后变长 D. 先变长后变短
如图,从下列四个条件∠1+∠2=180°、∠2=∠3、∠1+∠3=180°、l1∥l2中选一个作为题设,一个作为结论,写出一个真命题为
已知实数a,b在数轴上的对应点的位置如图所示,化简: +|a+b|.
若y=++2,则xy=____.
若,则实数a在数轴上的对应点一定在( )
A.原点左侧B.原点右侧 C.原点或原点左侧 D.原点或原点右侧
已知抛物线.
()求证:此抛物线与轴必有两个不同的交点.
()若此抛物线与直线的一个交点在轴上,求的值.
在中, ,将绕点A顺时针旋转到的位置,点E在斜边AB上,连结BD,过点D作于点F.
(1)如图1,若点F与点A重合.①求证: ;②若,求出;
(2)若,如图2,当点F在线段CA的延长线上时,判断线段AF与线段AB的数量关系.并说明理由.
化简:(﹣) ÷ ,并解答:
(1)当x=3时,求原式的值;
(2)原式的值能等于﹣1吗?为什么?