题目内容
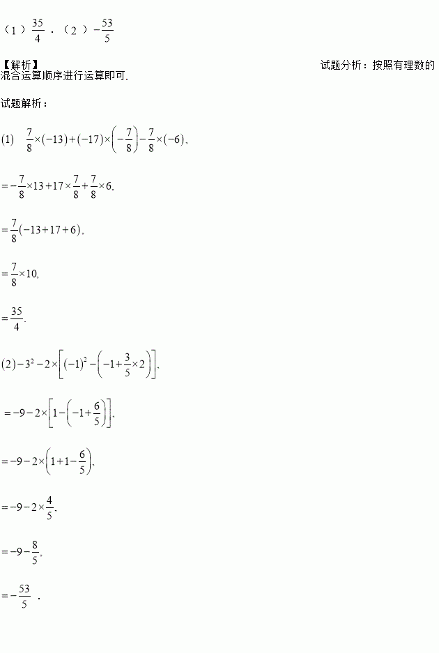
计算:
().
计算(-a)3·(-a)2的结果是( )
A. a5 B. -a5 C. a6 D. -a6
正方形ABCD中的边长为4,对角线AC、BD交于点O,E为DC边上一点,连接AE交BD于F,BGAE于点G,连接OG,若则_____________.
下列各数中最小的数是( )
A. B. C. D.
周长相等的正三角形、正四边形、正六边形的面积S3、S4、S6间的大小关系是( )
A. S3>S4>S6 B. S6>S4>S3 C. S6>S3>S4 D. S4>S6>S3
按下面程序计算:输入,则输出的答案是__________.
已知关于的方程的解为,则的值等于( ).
银行的点钞机每分钟大约点钞103张,两小时不间断点钞,则点钞机可点多少钱?(按点百元面额钞票计算)
一个等腰三角形的两边长分别是3和6,则它的周长是_____________.