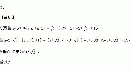
题目内容
按如图所示的程序计算,若开始输入的n值为,则最后输出的结果是( )
A.14 B.16 C.8+5 D.14+
如图A、B、C三个居民小区的位置成三角形,现决定三个小区之间修建一个超市,使它到三个小区的距离相等,则超市应建在( )
A. AC,BC 的两条高线的交点处
B. ∠A,∠B两内角平分线的交点处
C. AC、BC两边中线的交点处
D. AC、BC两条边垂直平分线的交点处
已知,则的值为__.
已知2a﹣1的平方根是±3,3a+b﹣1的立方根是2,求2a﹣b的平方根.
计算=_______
下列运算中错误的是( )
A. B. C. D.
某个立体图形的三视图的形状都相同,请你写出一种这样的几何体_____.
(3分)如图是一个正方体的平面展开图,折叠成正方体后与“建”字所在面相对的面的字是( )
A.创 B.教 C.强 D.市
如图,在甲建筑物上从A到E悬挂一条条幅,在乙建筑物顶部D点测得条幅顶端A点的仰角为30º,测得条幅底端E点的俯角为45º,若甲、乙两建筑物之间的水平距离为30米,求条幅AE的长。(结果精确到个位,参考数据=1.732)