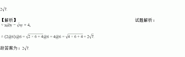
题目内容
定义运算“@”的运算法则为:则([email protected])@6=______.
(周口一模)不等式组的解集在数轴上表示为( )
A. B. C. D.
下列计算正确的是( )
A. 2×3=6 B. 3×3=3
C. 4×2=8 D. 2×6=12
二次根式, ,的大小关系是( )
A. B.
C. D.
化简:(1);(2).
若成立,则a,b满足的条件是( ).
A. a<0且b>0 B. a≤0且b≥0 C. a<0且b≥0 D. a,b异号
在△ABC中,BC边上的高h=cm,它的面积恰好等于边长为cm的正方形面积,求BC的长.
化简的结果是( )
一组数据2,3,x,y,12中,唯一的众数是12,平均数是6,这组数据的中位数是____.