题目内容
金属M的样品中含有不跟盐酸反应的杂质,取样品20g投入适量的盐酸中恰好完全反应,生成金属氯化物和2g的H2,测知金属氯化物中含氯的质量分数为79.8%,则样品中M的质量分数是.(计算结果保留至0.1%)
【答案】分析:首先设金属M的化合价为+m价,写出M与盐酸反应的化学方程式,根据生产的2g氢气的质量求金属M的相对原子质量,再根据知金属氯化物中含氯的质量分数为79.8%,进而求得结果,最后求出样品中M的质量分数.
解答:解:设金属M的化合价为+m价,M金属的相对原子质量为x,参加反应的金属M的质量为y
2M+2mHCl=2MClm+mH2↑
2x 2m
y 2g

y=2×
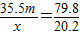
已知MClm中含氯的质量分数为79.8%,即
=79.8% 所以
,得
m
带入y=2×
得y=17.98g
则样品中M的质量分数为17.98g÷20g=89.9%
答:样品中M的质量分数是89.9%.
故答案为:89.9%
点评:本题考查金属与酸反应的化学性质,并通过计算探讨金属在样品中所占的质量分数,需要列式计算.
解答:解:设金属M的化合价为+m价,M金属的相对原子质量为x,参加反应的金属M的质量为y
2M+2mHCl=2MClm+mH2↑
2x 2m
y 2g
y=2×
已知MClm中含氯的质量分数为79.8%,即
带入y=2×
得y=17.98g
则样品中M的质量分数为17.98g÷20g=89.9%
答:样品中M的质量分数是89.9%.
故答案为:89.9%
点评:本题考查金属与酸反应的化学性质,并通过计算探讨金属在样品中所占的质量分数,需要列式计算.
练习册系列答案
相关题目