题目内容

将一定量的石灰石放入烧杯中,加入一定量的稀盐酸,恰好完全反应,产生4.4g气体,反应后所得溶液的溶质的质量分数为20%.(杂质不溶于水,也不参与反应)计算:反应前稀盐酸的溶质的质量分数.(结果精确到0.1%)

 

【答案】

14.6%

【解析】

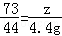
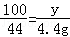
试题分析:设生成CaCl2的质量为x,石灰石中CaCO3的质量为y,参与反应的HCl的质量为z.

CaCO3+2HCl=CaCl2+H2O+CO2↑         

100    73   111       44

y      z    x        4.4g

x=11.1g   

y=10 g

z=7.3g      

所以反应后溶液的质量==55.5g

反应前稀盐酸的溶质的质量分数=×100%=14.6%

答:反应前稀盐酸的溶质的质量分数为14.6%.

考点:根据化学反应方程式的计算;有关溶质质量分数的简单计算.

点评:本考点考查了根据化学方程式的计算,属于质量分数和化学方程式的综合应用,是中考计算题中经常出现的题型.做题时要注意:化学方程式要写正确,始终不要忘记质量守恒定律.本考点主要出现在计算题中.

 

练习册系列答案
相关题目

违法和不良信息举报电话:027-86699610 举报邮箱:58377363@163.com

精英家教网