题目内容
科学家最近在-100℃的低温下合成一种化合物X,此分子的模型如下图,其中每个●代表一个碳原子,每个○代表一个氢原子.下列说法中不正确的是( )A.该分子的相对分子质量为64
B.该分子中碳元素的质量分数是93.75%
C.该分子的分子式为C4H5
D.等质量的该物质与甲烷相比,燃烧时消耗的氧气更多
【答案】分析:利用分子模型图,判断物质的分子构成;根据分子构成的判断,确定物质的化学式;
根据物质的化学式可计算相对分子质量、组成元素的质量比及分子中原子个数比,等相关问题.
解答:解:由微观粒子图形,可知一个分子中有5个碳原子,4个氢原子,故该物质的化学式是:C5H4;
A、相对分子质量=12×5+4=64,故说法正确;
B、物质中碳元素的质量分数=
×100%=93.75%;故此说法正确;
C、该物质的分子中含有设有5个碳原子,4个氢原子,化学式为:C5H4,说法错误
的该物质与甲烷都为1克,则设燃烧时消耗的氧气分别为x、y
C5H4+6O2
5CO2+2H2O CH4+2O2
CO2+2H2O
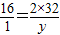
64 6×32 16 2×32
1 x 1 y
=

解得x=3克 y=4克
故等质量的该物质与甲烷相比,燃烧时消耗的氧气更多,说法错误.
故选CD
点评:根据物质的分子的模型图,可判断分子的构成,利用分子的构成确定物质的化学式,这是解题的关键.
根据物质的化学式可计算相对分子质量、组成元素的质量比及分子中原子个数比,等相关问题.
解答:解:由微观粒子图形,可知一个分子中有5个碳原子,4个氢原子,故该物质的化学式是:C5H4;
A、相对分子质量=12×5+4=64,故说法正确;
B、物质中碳元素的质量分数=
C、该物质的分子中含有设有5个碳原子,4个氢原子,化学式为:C5H4,说法错误
的该物质与甲烷都为1克,则设燃烧时消耗的氧气分别为x、y
C5H4+6O2
64 6×32 16 2×32
1 x 1 y
解得x=3克 y=4克
故等质量的该物质与甲烷相比,燃烧时消耗的氧气更多,说法错误.
故选CD
点评:根据物质的分子的模型图,可判断分子的构成,利用分子的构成确定物质的化学式,这是解题的关键.
练习册系列答案
相关题目
| A、该分子的化学式为C4H5 | B、该分子的相对分子质量为64 | C、该分子中的碳原子与氢原子的个数比是5:4 | D、该分子中碳元素的质量分数是93.75% |
根据下列每小题提出的问题填空.
(1)填写化学符号或化学符号的意义:
(2)请在下表中写出有关的化学方程式,并回答有关的问题.
(3)科学家最近在-100℃的低温下合成一种化合物X,此分子的模型如下图,其中每个“●”代表一个碳
原子,每个“○”代表一个氢原子.下列说法中不正确的是 .
①该分子可用C5H4表示;
②该物质中碳元素的质量分数是93.75%;
③该分子中的氢原子与碳原子的质量比是4:5;
④等质量的该物质与甲烷相比,燃烧时消耗的氧气更多.
(1)填写化学符号或化学符号的意义:
| 化学符号 | 2N | |
| 意义 | n个水分子 |
| 用途 | 化学方程式 | 相关问题 |
| 生石灰常用作某些食品的干燥剂 | ______________ | 此反应_________(填“吸热”或“放热”) |
| 小苏打可治疗胃酸过多 | ______________ | 基本反应类型 _______________ |
①该分子可用C5H4表示;
②该物质中碳元素的质量分数是93.75%;
③该分子中的氢原子与碳原子的质量比是4:5;
④等质量的该物质与甲烷相比,燃烧时消耗的氧气更多.
| A、该分子的分子式为C4H5 | B、该分子中碳元素的质量分数是93.75% | C、该分子中的氢原子与碳原子的个数比是4:5 | D、等质量的该物质与甲烷相比,燃烧时消耗的氧气更多 |
根据下列每小题提出的问题填空.
(1)填写化学符号或化学符号的意义:
(2)请在下表中写出有关的化学方程式,并回答有关的问题.
(3)科学家最近在-100℃的低温下合成一种化合物X,此分子的模型如图,其中每个“●”代表一个碳原子,每个“○”代表一个氢原子.下列说法中不正确的是 .

①该分子可用C5H4表示
②该物质中碳元素的质量分数是93.75%
③该分子中的氢原子与碳原子的质量比是4:5
④等质量的该物质与甲烷相比,燃烧时消耗的氧气更多.
(1)填写化学符号或化学符号的意义:
| 化学符号 | 2N | |
| 意义 | n个水分子 |
| 用途 | 化学方程式 | 相关问题 |
| 生石灰常用作某些食品的干燥剂 | 此反应 | |
| 小苏打可治疗胃酸过多 | 基本反应类型 |
①该分子可用C5H4表示
②该物质中碳元素的质量分数是93.75%
③该分子中的氢原子与碳原子的质量比是4:5
④等质量的该物质与甲烷相比,燃烧时消耗的氧气更多.