题目内容
请用化学用语表示:3个氮气分子 ;4个铵根离子 ;氧化铝中铝的化合价为+3价
【答案】分析:(1)分子的表示方法:正确书写物质的化学式,如氮气分子,可表示为:N2,表示多个该分子,就在其化学式前加上相应的数字,所以3个氮气分子可表示为3N2
(2)离子的表示方法:在表示该离子的元素符号右上角,标出该离子所带的正负电荷数,数字在前,正负符号在后,带1个电荷时,1要省略.但铵根离子是由多个原子组成的离子,整体带1个单元位的正电荷,表示为NH4+,若表示多个该离子,就在其元素符号前加上相应的数字4NH4+,
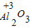
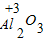
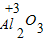
(3)元素化合价的表示方法:确定出化合物中所要标出的元素的化合价,然后在其化学式该元素的上方用正负号和数字表示,正负号在前,数字在后,如氧化铝中铝的化合价为+3价:
解答:解:(1)表示多个分子,就在其化学式前加上相应的数字,所以3个氮气分子可表示为3N2
(2)表示多个离子,就在其元素符号前加上相应的数字4NH4+,
(3)确定出化合物中所要标出的元素的化合价,然后在其化学式该元素的上方用正负号和数字表示,正负号在前,数字在后,如氧化铝中铝的化合价为+3价:
故答为:3N2、4NH4+,
点评:本题主要考查学生对化学用语的书写和理解能力,题目设计既包含对化学符号意义的了解,又考查了学生对化学符号的书写.
(2)离子的表示方法:在表示该离子的元素符号右上角,标出该离子所带的正负电荷数,数字在前,正负符号在后,带1个电荷时,1要省略.但铵根离子是由多个原子组成的离子,整体带1个单元位的正电荷,表示为NH4+,若表示多个该离子,就在其元素符号前加上相应的数字4NH4+,
(3)元素化合价的表示方法:确定出化合物中所要标出的元素的化合价,然后在其化学式该元素的上方用正负号和数字表示,正负号在前,数字在后,如氧化铝中铝的化合价为+3价:
解答:解:(1)表示多个分子,就在其化学式前加上相应的数字,所以3个氮气分子可表示为3N2
(2)表示多个离子,就在其元素符号前加上相应的数字4NH4+,
(3)确定出化合物中所要标出的元素的化合价,然后在其化学式该元素的上方用正负号和数字表示,正负号在前,数字在后,如氧化铝中铝的化合价为+3价:
故答为:3N2、4NH4+,
点评:本题主要考查学生对化学用语的书写和理解能力,题目设计既包含对化学符号意义的了解,又考查了学生对化学符号的书写.
练习册系列答案
相关题目