题目内容

将一定量的石灰石放入烧杯中,加入一定量的稀盐酸,恰好完全反应,产生4.4g气体,反应后所得溶液的溶质的质量分数为20%.(杂质不溶于水,也不参与反应)计算:反应前稀盐酸的溶质的质量分数.(结果精确到0.1%)

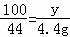
试题分析:设生成CaCl2的质量为x,石灰石中CaCO3的质量为y,参与反应的HCl的质量为z. CaCO3+2HCl=CaCl2+H2O+CO2↑         100    73   111       44y      z    x        4.4gx=11.1g   y="10" g z=7.3g      所以反应后溶液的质量==55.5g反应前稀盐酸的溶质的质量分数=×100%="14.6%"答:反应前稀盐酸的溶质的质量分数为14.6%.

练习册系列答案
相关题目

违法和不良信息举报电话:027-86699610 举报邮箱:58377363@163.com

精英家教网