题目内容
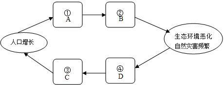
19.阅读理解:寻根究源:《黄土高原-中华民族心中的痛》七千多年前,黄河中下游地区气候温和,雨水适宜,黄河两岸水草肥美,森林茂盛.而如今位于黄河中游总面积58万平方千米的黄土高原,其水土流失面积竟达53万千米,严重水土流失区21.2万km2,局部水土流失区20.0万km2,轻微水土流失区2.2万km2.该区幅员辽阔,其中$\frac{2}{3}$地面遍覆黄土,土质松软;地形破碎,坡陡沟深;气候干旱,年雨量少而蒸发量大;地势高,气温低;植被稀少,暴雨集中.不利的自然条件,加以土地利用不合理,水土流失严重,水土流失总量每年为16亿吨,相当于每年将黄土高原的表土削掉2毫米.如果我们将这些泥沙筑成1米高、1米宽的土墙,可以绕地球赤道转27.5圈.读黄土高原生态环境恶性循环示意图,完成(1)-(3)题.
(1)选择下列项目前的字母填入图中空格中(每项只使用一次),完成整个循环过程.
A.人均耕地减少,燃料需求增加 B.破坏植被开垦荒地砍伐森林
C.农作物产量下降 D.扩大荒地开垦面积
(2)图中反映出造成黄土高原生态环境不断恶化的根本原因是C.
A.地理位置 B.生态系统比较稳定 C.人类不合理的开发利用 D.全球气温升高
(3)从可持续发展战略出发,治理黄土高原水土流失的关键是D.
A.全部退耕
B.禁止放牧
C.南水北调
D.加强生态建设,一方面,采取植树种草与修建挡土坝等工程措施相结合,另一方面,合理安排生产活动.
分析 黄土高原的生态环境十分脆弱.黄土结构疏松,裂隙较多,缺乏植被保护,在降水集中的夏季,尤其是暴雨期间,容易遭受侵蚀.由于长期的流水侵蚀和搬运,黄土高原呈现出如今沟壑纵横的地表形态.
解答 解:造成黄土高原地区生态环境恶化的主要原因是:由于人口的大量增加,人均耕地少,燃料需求量增加,出现了破坏植被,开垦荒地、砍伐森林等现象,这些现象导致生态环境恶化,自然灾害频繁发生,农作物产量下降,为了保障粮食生产,人们就进一步扩大荒地的开垦面积,这样就形成一个生态环境的恶性循环.可见人口增长造成不合理的开发利用是黄土高原生态环境不断恶化的根本原因.防治黄土高原水土流失的措施有工程措施、农业技术措施和生物措施,具体措施是大力植树种草,增加植被覆盖率,合理安排生产活动,退耕还林还草,以及整修梯田、修筑挡土坝等工程.
故答案为:(1)
;(2)C;(3)D.
点评 考查黄土高原的开发与治理,要理解记忆.
练习册系列答案
相关题目
9.印度农作物分面具有明显的区域性,这种区域分布的主要依据是( )
| A. | 适应不同地区农民的种植习惯 | |
| B. | 符合不同地区居民的消费习惯 | |
| C. | 有利于实施机械化,专门化生产 | |
| D. | 充分利用各地气侯、地形等自然条件 |
11.甲乙丙丁与四地区对应关系正确的是( )
| A. | 甲--西北地区 | B. | 乙--长三角 | C. | 丙--环渤海 | D. | 丁--西南地区 |
8.影响新疆农业发展最关键的因素是( )
| A. | 热量 | B. | 地形 | C. | 土壤 | D. | 水源 |
9.该山脉与淮河构成我国东部重要的地理界线,该山脉是( )
| A. | 太行山 | B. | 秦岭 | C. | 贺兰山 | D. | 大兴安岭 |