8.在相距20 km的甲、乙两地之间有两条输电线,已知输电线每米长的电阻为0.0l Ω.现输电线在某处发生短路,为确定短路位置,检修员利用电压表、电流表和电源接成如图所示电路进行测量.当电压表的示数为1.5 V时,电流表的示数为30 mA,则可确定出短路位置离甲地 km.
9.如图所示,AB和BC是由同种材料制成的长度相同、 横截面积不同的两段导体,将它们串联后连入电路中.比较这两段导体两端的电压及通过它们的电流的大小,有( )
A.UAB>UBC,IAB<IBC B.UAB<UBC,IAB=IBC
C. UAB>UBC,IAB=IBC D.UAB=UBC,IAB<IBC
7.有两个电阻R1和R2串联在电路中,它们的阻值之比是5:3;则通过它们的电流之比是 ,它们两端的电压之比是 。
6.某导体的电阻是10Ω,通过它的电流是300 mA,则此导体两端的电压是 V,若在该导体两端加上12V的电压,此导体的电阻是 Ω。
5.欧姆定律是由________物理学家欧姆在19世纪初期作了大量实验,归纳得出的。主要内容是:导体中的电流,跟导体两端的电压成______,跟导体的电阻成______,用公式表示为___________。
4.某同学将两节干电池串联起来,接在电阻R1的两端时,通过R1的电流是0.5 A,他又将这个电池组接在另外一个电阻R2两端,已知R2=2 R1.通过R2的电流是( )
A.0.5 A B.0.25 A C.1 A D.2 A
3.某导体两端电压为15V,此时通过导体的电流为3A,若导体两端的电压增加3V,则此时通过导体的电流和导体的电阻分别是( )
A.0.6A 5Ω B.3.6A 5Ω C.3.6A 1Ω D.4A 6Ω
2.两个导体并联后的总电阻( )
A.比每个导体的电阻都大 B.比每个导体的电阻都小
C.等于两个导体的电阻之和 D.等于两个导体电阻的倒数之和
1.根据欧姆定律 I=U/R,下列哪种说法是正确的:( )
A.通过导体的电流越大,这段导体的电阻就越小;
B.导体两端的电压越大,这段导体的电阻就越大;
C.导体的电阻与电压成正比,与电流成反比;
D.导体两端的电压越大,这段导体中电流就越大。
3.(难点)电阻的并联
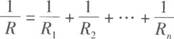
(1)总电阻与各分电阻的关系式:
(2)理解:①几个导体并联起来,相当于增大了导体的横截面积;②几个导体并联起来,总电阻比任何一个电阻都小
(3)两个电阻并联:R总=
[范例下载]
[例1](2007年·泰州)有两只定值电阻RA和RB,各自的电流与电压关系图像分别为图中的A、B。若将它们串联接在电压为4.5V的电源上,则RA两端的电压为______V,通过RB中电流是______A。
[解析]从图中的信息可看出,A和B中的电流与其两端电压的关系遵从欧姆定律,在横轴上取一电流值作垂线,由R=U/I,因UA>UB,所以RA>RB, 利用图中的数据可求得:RA=2.0V/0.2A=10Ω,RB=1.0V/0.2A=5Ω,若将它们串联接在电压为4.5V的电源上,电路中电流为I=U/R总=4.5V/15Ω=0.3A, RA两端的电压为UA =IRA =0.3A×10Ω=3V
[答案]3 0.3A
[点拨]导体的“电压-电流”图像,即“U-I”图像是中考经常考查的题型。解答的关键,利用图像上的信息读取相关数据,进行计算。
[拓展](2006年·莱芜)在某一温度下,两个电路元件A和B中的电流与其两端电压的关系如图所示。则由图可知,元件A的电阻为 Ω;将A和B并联后接在电压为2.5V的电源两端,则通过A和B的总电流是 A。
[解析]从图中的信息可看出,元件A和B中的电流与其两端电压的关系遵从欧姆定律,在横轴上取一电压值作垂线,由R=U/I,因IA>IB,所以RA<RB, 利用图中的数据可求得:RA=1.5V/0.3A=5Ω,RB=2.0V/0.2A=10Ω 当A和B并联后接在电压为2.5V的电源两端时,根据欧姆定律I=U/R可得:IA =2.5V/5Ω=0.5A IB=2.5V/10Ω=0.25A,则通过A和B的总电流是I=IA+IB=0.75A
[答案]5Ω 0.75A
[例2](2007年·攀枝花)小明同学实验时连接了如图所示的电路,实验操作正确,他闭合开关后将会发现电压表示数_____(填“变大”、“变小”或“不变”),电流表示数_____(填“变大”、“变小”或“不变”)。
[解析]图中电路开关断开时,电压表串联在电路中,由于电压表的内阻很大,电路中的电流几乎为0,根据串联分压可得,此时电压表的示数几乎等于电源电压;当开关闭合时电阻R和灯泡串联,电压表测量的仅是电阻两端的电压,所以电压表示数变小,此时电路中的电流变大。
[答案]变小 变大
[点拨]本题是一道综合性较强的应用试题,应用欧姆定律解题时要注意“同体性”和“同时性”,当电路发生变化时,要善于抓住“不变量”做桥梁,如电路发生变化时电源的电压不变、导体的电阻不变等。
[拓展](2007年·河南)兰兰设计了一种测定风力的装置,其原理如图所示,金属迎风板与绝缘轻弹簧的一端N相接,一起套在有一定电阻的光滑金属杆上。电路中左端导线与金属杆的M端相连,右端导线接在迎风板的N点,并可随迎风板在金属杆上滑动,导线与金属杆接触良好。电源两端电压不变,闭合开关,当风力增大时,电压表的示数将 ( )
A.变小 B.不变 C.变大 D.无法判断
[解析]从图中看:有一定电阻的光滑金属杆相当一个变阻器,它和R串联,V测的是金属杆两端电压U1,当风力增大时,光滑金属杆的电阻减小,串联电路中,根据I=U/R,总电压不变,总电阻变小,电流I增大.致使R两端的电压U2变化:U2=I R,其中R不变,I增大,U2增大.U1的变化:U1=U-U2,U不变,U2增大,U1减小。如果用公式U2=IR2分析U2的变化不易得到结论,因为I减小。
[答案]A
[例3](2005年·江苏宿迁)把电阻R1 =3、R2 = 6 接入同一电路,关于它们的总电阻(等效电阻)值,下列四个选项中,不可能的是:( )
A.9 B.2 C.9或2 D.3
[解析]把电阻接入电路中的方式只有两种,即串联和并联。若串联由R=R1+R2 可求得R=9,若并联由R=可求得R=2。
[答案]D
[点拨]利用串、并联电路总电阻的计算公式进行求解。
[拓展]在修理电子玩具时,需要用一个75Ω的电阻,现手边有阻值为300Ω、100Ω、40Ω、35Ω及15Ω的电阻各一个,他可以选择其中________Ω和________Ω两个电阻________联来获得;还可以选择其中________Ω和________Ω的两个电阻________联来获得.
[解析]第(1)种选择:很容易看出:40Ω+35Ω=75Ω;第(2)种选择:总电阻为75Ω,由于并联总电阻比所并联的最小的电阻都小,所以应选择比75大的电阻并联。当然可以用并联电阻公式进行验证。设其中一个分电阻为300Ω,利用=+求出R2=100Ω.可知=+
[答案]45Ω 35Ω 串 300 100 并
[课后冲浪]
2.(重点)电阻的串联
(1)总电阻与各分电阻的关系式:R=R1+R2+…+Rn
(2)理解:①几个导体串联起来,相当于增加了导体的长度;②几个导体串联起来,总电阻比任何一个电阻都大
(3)n个相同电阻R0串联的总电阻R与R0的关系:R=nR0