30.(22分)植物激素“乙烯(C2H4)”广泛存在于植物体的多种组织中,特别是在成熟的果实中含量较多.下图是鳄梨果实的细胞内由乙烯引起的生理过程图解.据图回答问题:

(1)图中的④、⑤过程中,各结构之间能通过分泌小泡相互转化,是因为生物膜具有_____________。它们的膜结构与细胞膜、线粒体等形成的结构体系,叫      。

(2)植物通过激素调节,最终在实现细胞代谢活动的有序进行方面,是与微生物的代谢调节系统相似的.通过①过程,在转录水平提高了纤维素酶的合成量,这种细胞代谢调节方式叫      ,纤维素酶属于_____     酶.乙烯与活性受体结合后,最终会作用于基因结构的         区.

(3)如果①过程中,初级转录产物RNA的一段碱基序列异常,但并未影响纤维素酶的合成.可能的原因是,这段异常序列转录自基因结构的       .在核糖体上合成的纤维素酶是以      为模板,这一过程在遗传学上称为     

(4)乙烯的主要作用是促进果实成熟,图中所示生理效应可使果实变     .乙烯还可增强膜透性,加速呼吸,引起果肉细胞内的淀粉水解为可溶性糖,使果肉变    .此外,乙烯能抑制细胞伸长生长,促进横向生长,使地上部分失去负重力性生长.据此可判断,乙烯与生长素之间具有     作用.

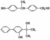
27.(17分)双酚-A的二甲基丙烯酸酯是一种能使人及动物的内分泌系统发生紊乱,导致生育及繁殖异常的环境激素,其结构简式为:

C
 
    

   它在一定条件下水解可生成双酚-A和羧酸H两种物质。

   I.(1)双酚-A的分子式为             ;下列关于它的叙述中正确的是             。(填写字母)。

   A.与苯酚互为同系物

   B.可以和Na2CO3溶液反应,放出CO2气体

   C.分子中最多有8个碳原子在同一平面上

   D.1mol双酚-A与浓溴水反应,最多可以消耗Br2的物质的量为4mol

    (2)下列物质中与双酚-A互为同分异构体的是             (填写字母)。

     

    A.                 B.

    C.                  D.

   

   II.已知与        结构相似的醇不能被氧化为醛或酸。羧酸H可以由以下

途径制得(有的反应条件没有标出):

   

      烯烃

  (3)C的结构简式                  

  (4)G中所含官能团为     (填名称),⑤的反应类型为         

  (5)反应③的化学方程式为                       

  (6)羧酸H与甲醇反应后得到的酯,能形成一种高分子化合物,可用于制造高级光

学仪器透镜,请写出该酯在一定条件下生成此高分子化合物的化学反应方程式    

               

 0  129474  129482  129488  129492  129498  129500  129504  129510  129512  129518  129524  129528  129530  129534  129540  129542  129548  129552  129554  129558  129560  129564  129566  129568  129569  129570  129572  129573  129574  129576  129578  129582  129584  129588  129590  129594  129600  129602  129608  129612  129614  129618  129624  129630  129632  129638  129642  129644  129650  129654  129660  129668  447348 

违法和不良信息举报电话:027-86699610 举报邮箱:58377363@163.com

精英家教网