摘要: 对于试题:“先化简.再求值:.其中x=2. 某同学写出了如下解答: 解: 当x=2时.原式=2×2-2=2. 她的解答正确吗?如不正确.请你写出正确解答.
网址:http://m.1010jiajiao.com/timu3_id_456330[举报]
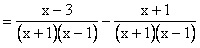
对于试题:“先化简,再求值:
-
,其中x=2.”小亮写出了如下解答过程:
∵
-
=
-
①
=
-
②
=x-3-(x+1)=2x-2,③
∴当x=2时,原式=2×2-2=2. ④
(1)小亮的解答在哪一步开始出现错误:______(直接填序号);
(2)从②到③是否正确:______;若不正确,错误的原因是______;
(3)请你写出正确的解答过程.
查看习题详情和答案>>
对于试题:“先化简,再求值:
,其x=2”某同学写出了如下解答:
她的解答正确吗?如不正确,请你写出正确解答.
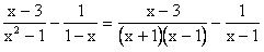
解:
=
=x-3-(x+1)
=x-3+x+1
=2x-2;
当x=2时,原式=2×2-2=2.
查看习题详情和答案>>
对于试题:“先化简,再求值:
,其中x=2.”小亮写出了如下解答过程:
∵
①
②
=x-3-(x+1)=2x-2, ③
∴当x=2时,原式=2×2-2=2. ④
(1)小亮的解答在哪一步开始出现错误: ① (直接填序号);
(2)从②到③是否正确: 不正确 ;若不正确,错误的原因是 把分母去掉了 ;
(3)请你写出正确的解答过程.
查看习题详情和答案>>