网址:http://m.1010jiajiao.com/timu3_id_400782[举报]
| 3 |
| 4 |
(1)写出相应元素符号,A
(2)X溶液呈酸性,其原因是
(3)由A、C、D、E四种元素所组成的一种中学常见的化合物,它既能与盐酸反应,又能与NaOH溶液反应,在这种化合物的水溶液中,滴入紫色石蕊试液出现红色,则溶液中离子浓度由大到小的排列顺序为:
(4)A2C2能使酸性KMnO4溶液褪色,该反应的离子方程式为
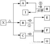
Ⅱ、已知X是一种盐,H是常见金属单质,F、I是常见非金属单质,E、G都是工业上重要的碱性物质,它们有如图所示的关系.试回答下列问题
(1)X、G的化学式分别为:
(2)B的结构式为
(3)写出下列反应的化学方程式①
| ||
| ||
(14分)、联碱法(候氏制碱法)和氨碱法的生产流程简要表示如下图:
⑴沉淀池中发生反应的化学方程式为_____________________;
⑵X是______,Y是______(填化学式);
⑶从理论上分析,在氨碱法生产过程中_______(填“需要”、“不需要”)补充氨气,从原料到产品,氨碱法总反应过程用化学方程式表示,可写为 ;
⑷根据联碱法中从母液中提取氯化铵晶体的过程推测,所得结论正确是____;
a.常温时氯化铵的溶解度比氯化钠小 b.通入氨气目的是使氯化铵更多析出
c.加入食盐细粉目的是提高Na+的浓度, 促进碳酸氢钠结晶析出
⑸相比于氨碱法,指出联碱法的一项优点______________。
查看习题详情和答案>>
(14分)、联碱法(候氏制碱法)和氨碱法的生产流程简要表示如下图:![]()
⑴沉淀池中发生反应的化学方程式为_____________________;
⑵X是______,Y是______(填化学式);
⑶从理论上分析,在氨碱法生产过程中_______(填“需要”、“不需要”)补充氨气,从原料到产品,氨碱法总反应过程用化学方程式表示,可写为 ;
⑷根据联碱法中从母液中提取氯化铵晶体的过程推测,所得结论正确是____;
a.常温时氯化铵的溶解度比氯化钠小 b.通入氨气目的是使氯化铵更多析出
c.加入食盐细粉目的是提高Na+的浓度,促进碳酸氢钠结晶析出
⑸相比于氨碱法,指出联碱法的一项优点______________。
(14分)、联碱法(候氏制碱法)和氨碱法的生产流程简要表示如下图:
![]()
⑴沉淀池中发生反应的化学方程式为_____________________;
⑵X是______,Y是______(填化学式);
⑶从理论上分析,在氨碱法生产过程中_______(填“需要”、“不需要”)补充氨气,从原料到产品,氨碱法总反应过程用化学方程式表示,可写为 ;
⑷根据联碱法中从母液中提取氯化铵晶体的过程推测,所得结论正确是____;
a.常温时氯化铵的溶解度比氯化钠小 b.通入氨气目的是使氯化铵更多析出
c.加入食盐细粉目的是提高Na+的浓度, 促进碳酸氢钠结晶析出
⑸相比于氨碱法,指出联碱法的一项优点______________。
查看习题详情和答案>>
(1)写出相应元素符号,A______B______ C______ E______
(2)X溶液呈酸性,其原因是______(用离子方程式表示).
(3)由A、C、D、E四种元素所组成的一种中学常见的化合物,它既能与盐酸反应,又能与NaOH溶液反应,在这种化合物的水溶液中,滴入紫色石蕊试液出现红色,则溶液中离子浓度由大到小的排列顺序为:______.
(4)A2C2能使酸性KMnO4溶液褪色,该反应的离子方程式为______.
Ⅱ、已知X是一种盐,H是常见金属单质,F、I是常见非金属单质,E、G都是工业上重要的碱性物质,它们有如图所示的关系.试回答下列问题
(1)X、G的化学式分别为:______、______.
(2)B的结构式为______.
(3)写出下列反应的化学方程式①______ ②______ 2MgO+C