摘要: A.B两物体质量之比为2:1,以绳相连并在向上的恒力F作用下运动,若将A.B位置对调后仍用原来力使它们运动. 前后两次运动中,绳中张力之比是 . 15 一位体重600 N的人乘升降机从底楼到顶楼.当接近顶楼时.升降机的速度在3 s内由8.0 m/s降到2.0m/s. 则在这3s内升降机地板对人的平均作用力大小是 N.(g取10 m/s2)
网址:http://m.1010jiajiao.com/timu3_id_1532606[举报]
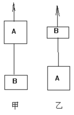
A、B两物体质量之比为2:1,以绳相连(绳质量不计)并在向上的恒力F作用下运动(如图甲),若将A、B位置对调后仍用原来力使它们运动(图乙). 前后两次运动中,绳中张力之比是______.
![]()
A、B两物体质量之比为2:1, 以绳相连(绳质量不计)并在向上的恒力F作用下运动(如图甲), 若将A、B位置对调, 后仍用原来力使它们运动(图乙). 前后两次运动中, 绳中张力之比是______.
A、B两物体质量之比为2∶1,以绳相连(绳质量不计)并在向上的恒力F作用下运动(如图甲所示),若将A、B位置对调后仍用原来力使它们运动(如图乙所示).前后两次运动中,绳中张力之比是________.