题目内容
一颗人造卫星的质量为m,离地面的高度为h,卫星做匀速圆周运动,已知地球半径为R,地球表面重力加速度为g,求:(1)卫星受到的向心力的大小
(2)卫星的速率
(3)卫星环绕地球运行的周期.
【答案】分析:(1)卫星绕地球做圆周运动靠万有引力提供向心力,根据万有引力定律和黄金代换式求出向心力的大小.
(2、3)根据万有引力提供向心力结合黄金代换式求出卫星的速率和周期.
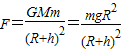
解答:解:(1)根据黄金代换式得:GM=gR2
则向心力
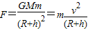
(2)根据万有引力提供向心力,
解得:
(3)根据万有引力提供向心力,
解得:
答:(1)卫星受到的向心力的大小为
.
(2)卫星的速率为
.
(3)卫星环绕地球运行的周期
.
点评:解决本题的关键掌握卫星绕地球做圆周运动靠万有引力提供向心力,以及掌握黄金代换式GM=gR2.
(2、3)根据万有引力提供向心力结合黄金代换式求出卫星的速率和周期.
解答:解:(1)根据黄金代换式得:GM=gR2
则向心力
(2)根据万有引力提供向心力,
解得:
(3)根据万有引力提供向心力,
解得:
答:(1)卫星受到的向心力的大小为
(2)卫星的速率为
(3)卫星环绕地球运行的周期
点评:解决本题的关键掌握卫星绕地球做圆周运动靠万有引力提供向心力,以及掌握黄金代换式GM=gR2.
练习册系列答案
相关题目