题目内容
“静止”在赤道上空的地球同步气象卫星能把广阔视野内的气象数据发回地面,为天气预报提供准确、全面和及时的气象资料.设地球同步卫星的轨道半径是地球半径的n倍,下列说法中正确的是( )A.同步卫星的运行速度是地球赤道上物体随地球自转的速度的n倍
B.同步卫星的向心加速度是地球表面重力加速度的
C.同步卫星运行周期是近地卫星的n3倍
D.同步卫星运行速度是第一宇宙速度的
【答案】分析:同步卫星与地球赤道上的物体具有相同的角速度,根据v=rω得出速度的关系.根据万有引力提供向心力得出同步卫星速度与第一宇宙速度的关系.
解答:解:A、同步卫星与地球赤道上的物体具有相同的角速度,根据v=rω知,同步卫星的运行速度是地球赤道上物体随地球自转的速度的n倍.故A正确.
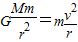
B、根据
,则同步卫星的加速度a=
,地球表面的重力加速度g=
,则同步卫星的向心加速度是地球表面重力加速度的
倍.故B错误.
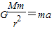
C、根据
得,T=
,所以同步卫星的周期是近地卫星周期的
倍.故C错误.
D、根据
得,v=
,则同步卫星运行速度是第一宇宙速度的
倍.故D正确.
故选AD.
点评:解决本题的关键掌握万有引力提供向心力这一理论,并能灵活运用.
解答:解:A、同步卫星与地球赤道上的物体具有相同的角速度,根据v=rω知,同步卫星的运行速度是地球赤道上物体随地球自转的速度的n倍.故A正确.
B、根据
C、根据
D、根据
故选AD.
点评:解决本题的关键掌握万有引力提供向心力这一理论,并能灵活运用.
练习册系列答案
相关题目