题目内容

(10分)若卫星绕地球做匀速圆周运动,运行轨道距离地面高度为h,已知地球半径为R,地球表面重力加速度为g,不考虑地球自转的影响。求:

(1)第一宇宙速度v1的表达式;

(2)卫星的运行周期T。

 

【答案】

(1)  (2)

【解析】

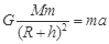
试题分析:(1)设卫星的质量为m,地球的质量为M,根据万有引力定律有:

在地球表面附近:                        ①

恰能离开地球表面做圆周运动:

联解①②得:                    ③

(2)卫星在轨道上做圆周运动时,根据牛顿第二定律有:

              ④

                      ⑤

联解①④⑤得:                  ⑥

评分参考意见:本题满分10分,其中①式3分;②④式各2分,③⑤⑥式各1分;若有其他合理解法且答案正确,可同样给分。

考点:万有引力定律及其应用

 

练习册系列答案
相关题目

违法和不良信息举报电话:027-86699610 举报邮箱:58377363@163.com

精英家教网