题目内容

“探路者”号宇宙飞船在宇宙深处飞行过程中,发现A、B两颗均匀球形天体,两天体各有一颗靠近其表面飞行的卫星,测得两颗卫星的周期相等,以下判断正确的是

A.天体A、B的质量一定不相等

B.两颗卫星的线速度一定相等

C.天体A、B表面的重力加速度之比等于它们的半径之比

D.天体A、B的密度一定不相等

 

【答案】

C

【解析】

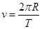
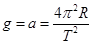
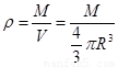
试题分析:设A、B中任意球形天体的半径为R,质量为M,卫星的质量为m,周期为T.则由题意,卫星靠近天体表面飞行,卫星的轨道半径约等于天体的半径,则有,得,T相等,R不一定相等,所以天体A、B的质量不一定相等.故A错误.天体的密度为,联立得到,可见,与天体的半径无关,由于两颗卫星的周期相等,则天体A、B的密度一定相等.故D错误;卫星的线速度为,T相等,而R不一定相等,线速度不一定相等.故B错误.天体A、B表面的重力加速度等于卫星的向心加速度,即,可见天体A、B表面的重力加速度之比等于它们的半径正比.故C正确

考点:万有引力定律及其应用;

 

练习册系列答案
相关题目

违法和不良信息举报电话:027-86699610 举报邮箱:58377363@163.com

精英家教网