ÌâÄ¿ÄÚÈÝ
ÔÚÀûÓôòµã¼ÆÊ±Æ÷ÑéÖ¤×ö×ÔÓÉÂäÌåÔ˶¯µÄÎïÌå»úеÄÜÊØºãµÄʵÑéÖУ®£¨1£©ÐèÒª²âÁ¿ÎïÌåÓɾ²Ö¹¿ªÊ¼×ÔÓÉÏÂÂ䵽ijµãʱµÄ˲ʱËÙ¶ÈvºÍÏÂÂä¸ß¶Èh£®Ä³Ð¡×éµÄͬѧÀûÓÃʵÑéµÃµ½µÄÖ½´ø£¬¹²Éè¼ÆÁËÒÔÏÂËÄÖÖ²âÁ¿·½°¸£¬ÆäÖÐÕýÈ·µÄÊÇ£º
A£®Óÿ̶ȳ߲â³öÎïÌåÏÂÂäµÄ¸ß¶Èh£¬²¢²â³öÏÂÂäʱ¼ät£¬Í¨¹ýv=gt¼ÆËã³ö˲ʱËÙ¶Èv£»
B£®Óÿ̶ȳ߲â³öÎïÌåÏÂÂäµÄ¸ß¶Èh£¬²¢Í¨¹ý
C£®¸ù¾Ý×öÔȱäËÙÖ±ÏßÔ˶¯Ê±Ö½´øÉÏijµãµÄ˲ʱËÙ¶È£¬µÈÓÚÕâµãǰ¡¢ºóÏàÁÚÁ½µã¼äµÄƽ¾ùËÙ¶È£¬²âËã³ö˲ʱËÙ¶Èv£¬²¢Í¨¹ýh=
D£®Óÿ̶ȳ߲â³öÎïÌåÏÂÂäµÄ¸ß¶Èh£¬¸ù¾Ý×öÔȱäËÙÖ±ÏßÔ˶¯Ê±Ö½´øÉÏijµãµÄ˲ʱËÙ¶È£¬µÈÓÚÕâµãǰ¡¢ºóÏàÁÚÁ½µã¼äµÄƽ¾ùËÙ¶È£¬²âËã³ö˲ʱËÙ¶Èv£®
£¨2£©ÒÑÖªµ±µØÖØÁ¦¼ÓËÙ¶ÈΪg£¬Ê¹Óý»Á÷µçµÄƵÂÊΪf£®ÔÚ´ò³öµÄÖ½´øÉÏѡȡÁ¬Ðø´ò³öµÄÎå¸öµãA¡¢B¡¢C¡¢D¡¢E£¬ÈçͼËùʾ£®²â³öAµã¾àÀëÆðʼµãOµÄ¾àÀëΪs£¬A¡¢CÁ½µã¼äµÄ¾àÀëΪs1£¬C¡¢EÁ½µã¼äµÄ¾àÀëΪs2£¬¸ù¾ÝǰÊöÌõ¼þ£¬Èç¹ûÔÚʵÑéÎó²îÔÊÐíµÄ·¶Î§ÄÚÂú×ã¹ØÏµÊ½______£¬¼´ÑéÖ¤ÁËÎïÌåÏÂÂä¹ý³ÌÖлúеÄÜÊÇÊØºãµÄ£®¶øÔÚʵ¼ÊµÄʵÑé½á¹ûÖУ¬ÍùÍù»á³öÏÖÎïÌåµÄ¶¯ÄÜÔö¼ÓÁ¿ÂÔСÓÚÖØÁ¦ÊÆÄܵļõСÁ¿£¬³öÏÖÕâÑù½á¹ûµÄÖ÷ÒªÔÒòÊÇ______
¡¾´ð°¸¡¿·ÖÎö£º£¨1£©½â¾öʵÑéÎÊÌâÊ×ÏÈÒªÕÆÎÕ¸ÃʵÑéÔÀí£¬Á˽âʵÑéµÄÒÇÆ÷¡¢²Ù×÷²½ÖèºÍÊý¾Ý´¦ÀíÒÔ¼°×¢ÒâÊÂÏ¶ÔÓÚÑéÖ¤»úеÄÜÊØºã¶¨ÂɵÄʵÑéÎÒÃÇÒѾ°ÑÖØÎï¿´³É×ÔÓÉÂäÌåÔ˶¯£¬¹Ê²»ÄÜÔÙÓÃ×ÔÓÉÂäÌåµÄ¹æÂÉÇó½âËÙ¶È£¬·ñÔò¾Í²»ÐèÒª½øÐÐÑéÖ¤ÁË£®
£¨2£©¸ù¾ÝÔȱäËÙÖ±ÏßÔ˶¯µÄ¹æÂÉÇó³öCµãµÄ˲ʱËÙ¶È£¬È»ºó¸ù¾Ý»úеÄÜÊØºã¶¨Âɵıí´ïʽ½øÐÐÁÐʽÑéÖ¤¼´¿É£®
½â´ð£º½â£º£¨1£©¸ÃʵÑéÊÇÑéÖ¤»úеÄÜÊØºã¶¨ÂɵÄʵÑ飮ÒòΪÎÒÃÇÖªµÀ×ÔÓÉÂäÌåÔ˶¯Ö»ÊÜÖØÁ¦£¬»úеÄܾÍÊØºã£®Èç¹û°ÑÖØÎï¿´³É×ÔÓÉÂäÌåÔ˶¯£¬ÔÙÔËÓÃ×ÔÓÉÂäÌåµÄ¹æÂÉÇó½âËÙ¶È£¬ÄÇô¾Í²»ÐèÒªÑé֤Ĩ£¬ÆäÖÐABCÈýÏî¶¼ÊÇÔËÓÃÁË×ÔÓÉÂäÌåµÄÔ˶¯¹æÂÉÇó½âµÄ£¬¹ÊABC´íÎó£¬DÕýÈ·£®
¹ÊÑ¡D£®
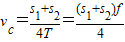
£¨2£©ÔȱäËÙÖ±ÏßÔ˶¯Ê±Ö½´øÉÏijµãµÄ˲ʱËÙ¶È£¬µÈÓÚÕâµãǰ¡¢ºóÏàÁÚÁ½µã¼äµÄƽ¾ùËÙ¶È£¬Òò´ËCµãËÙ¶ÈΪ£º

¸ù¾Ý»úеÄÜÊØºã¶¨ÂÉÓУº
¼´£º
ΪËùÐèÒªÑéÖ¤µÄ¹«Ê½£¬ÓÉÓÚÖØÎïÏ»¬¹ý³ÌÖÐÐèÒª¿Ë·þ×èÁ¦×ö¹¦£¬Òò´ËÖØÁ¦ÊÆÄܵļõСÁ¿ÂÔ´óÓÚ¶¯ÄܵÄÔö¼ÓÁ¿£®
¹Ê´ð°¸Îª£º
£¬´òµã¼ÆÊ±Æ÷¶ÔÖ½´øµÄ×èÁ¦×ö¹¦£®
µãÆÀ£ºÎÒÃÇ×öÑé֤ʵÑ顢̽¾¿ÊµÑé¹ý³ÌÖУ¬²»ÄÜÓÃÑéÖ¤µÄÎïÀí¹æÂɺÍ̽¾¿µÄÎïÀí½áÂÛÈ¥Çó½âÎÊÌ⣻ֽ´ø·¨ÊµÑéÖУ¬ÈôÖ½´øÔȱäËÙÖ±ÏßÔ˶¯£¬²âµÃÖ½´øÉϵĵã¼ä¾à£¬ÀûÓÃÔȱäËÙÖ±ÏßÔ˶¯µÄÍÆÂÛ£¬¿É¼ÆËã³ö´ò³öijµãʱֽ´øÔ˶¯µÄ˲ʱËٶȺͼÓËÙ¶È£¬´Ó¶øÇó³ö¶¯ÄÜ£¬Òò´ËÒªÊìÁ·Ó¦ÓÃÔȱäËÙÖ±ÏßÔ˶¯¹æÂÉÀ´½â¾öÎÊÌ⣮
£¨2£©¸ù¾ÝÔȱäËÙÖ±ÏßÔ˶¯µÄ¹æÂÉÇó³öCµãµÄ˲ʱËÙ¶È£¬È»ºó¸ù¾Ý»úеÄÜÊØºã¶¨Âɵıí´ïʽ½øÐÐÁÐʽÑéÖ¤¼´¿É£®
½â´ð£º½â£º£¨1£©¸ÃʵÑéÊÇÑéÖ¤»úеÄÜÊØºã¶¨ÂɵÄʵÑ飮ÒòΪÎÒÃÇÖªµÀ×ÔÓÉÂäÌåÔ˶¯Ö»ÊÜÖØÁ¦£¬»úеÄܾÍÊØºã£®Èç¹û°ÑÖØÎï¿´³É×ÔÓÉÂäÌåÔ˶¯£¬ÔÙÔËÓÃ×ÔÓÉÂäÌåµÄ¹æÂÉÇó½âËÙ¶È£¬ÄÇô¾Í²»ÐèÒªÑé֤Ĩ£¬ÆäÖÐABCÈýÏî¶¼ÊÇÔËÓÃÁË×ÔÓÉÂäÌåµÄÔ˶¯¹æÂÉÇó½âµÄ£¬¹ÊABC´íÎó£¬DÕýÈ·£®
¹ÊÑ¡D£®
£¨2£©ÔȱäËÙÖ±ÏßÔ˶¯Ê±Ö½´øÉÏijµãµÄ˲ʱËÙ¶È£¬µÈÓÚÕâµãǰ¡¢ºóÏàÁÚÁ½µã¼äµÄƽ¾ùËÙ¶È£¬Òò´ËCµãËÙ¶ÈΪ£º
¸ù¾Ý»úеÄÜÊØºã¶¨ÂÉÓУº
¼´£º
¹Ê´ð°¸Îª£º
µãÆÀ£ºÎÒÃÇ×öÑé֤ʵÑ顢̽¾¿ÊµÑé¹ý³ÌÖУ¬²»ÄÜÓÃÑéÖ¤µÄÎïÀí¹æÂɺÍ̽¾¿µÄÎïÀí½áÂÛÈ¥Çó½âÎÊÌ⣻ֽ´ø·¨ÊµÑéÖУ¬ÈôÖ½´øÔȱäËÙÖ±ÏßÔ˶¯£¬²âµÃÖ½´øÉϵĵã¼ä¾à£¬ÀûÓÃÔȱäËÙÖ±ÏßÔ˶¯µÄÍÆÂÛ£¬¿É¼ÆËã³ö´ò³öijµãʱֽ´øÔ˶¯µÄ˲ʱËٶȺͼÓËÙ¶È£¬´Ó¶øÇó³ö¶¯ÄÜ£¬Òò´ËÒªÊìÁ·Ó¦ÓÃÔȱäËÙÖ±ÏßÔ˶¯¹æÂÉÀ´½â¾öÎÊÌ⣮
Á·Ï°²áϵÁдð°¸
Ïà¹ØÌâÄ¿