ÌâÄ¿ÄÚÈÝ

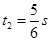
£¨10·Ö£©ÒÑÖªÒ»×ã¹»³¤µÄ´«ËÍ´øÓëË®Æ½ÃæµÄÇã½ÇΪ300£¬ÒÔÒ»¶¨µÄËÙ¶ÈÔÈËÙÔ˶¯¡£Ä³Ê±¿ÌÔÚ´«ËÍ´øÊʵ±µÄλÖ÷ÅÉϾßÓÐÒ»¶¨³õËٶȵÄÎï¿é£¬Îï¿éµÄÖÊÁ¿m=1kg,ÒÔ´ËʱΪt£½0ʱ¿Ì¼Ç¼ÁËСÎï¿éÖ®ºóÔÚ´«ËÍ´øÉÏÔ˶¯ËÙ¶ÈËæÊ±¼äµÄ±ä»¯¹ØÏµÈçͼËùʾ,ÈôͼÖÐÈ¡ÑØÐ±ÃæÏòϵÄÔ˶¯·½ÏòΪÕý·½Ïò£¬ÆäÖÐv1=£­6m/s,¡¡v2=4m/s,¡¡t1=0.5s, gÈ¡10 m/s2,ÒÑÖª´«ËÍ´øµÄËٶȱ£³Ö²»±ä¡£ Çó£º

£¨1£©Îï¿éÓë´«ËÍ´ø¼äµÄĦ²ÁϵÊý£»

£¨2£©0¡«t2ÄÚ´ø¶¯´«ËÍ´øµÄµç¶¯»ú¶àÏûºÄµÄµçÄÜ£»

£¨3£©0¡«t2 ÄÚϵͳ²úÉúµÄÄÚÄÜ£»

 

¡¾´ð°¸¡¿

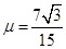
£¨1£©£¨2£©23.3J£¨3£©29.17J

¡¾½âÎö¡¿

ÊÔÌâ·ÖÎö£º£¨1£©£¨3·Ö£©ÓÉÓÚ×îÖÕÎï¿éÓë´ø¹²ËÙ£¬ËùÒÔÎïÌ忪ʼÏòÉÏÔ˶¯£¬

ÓÉͼÏó¿ÉÖªÎïÌåµÄ¼ÓËÙ¶È´óСΪ£¬·½ÏòÑØ´«ËÍ´øÏòÏ£¬

¸ù¾ÝÅ£¶ÙµÚ¶þ¶¨ÂÉÓУº

ÇóµÃ£º £¨3·Ö£©ÓÉͼ¿ÉÖª£º

´«ËÍ´øÔÚ0¡«t2ÄÚͨ¹ýµÄÎ»ÒÆ£º

£¨2£©¸ù¾ÝÄܵÄת»¯ºÍÊØºã¶¨ÂÉ£¬µç¶¯»ú¶àÏûºÄµÄµçÄÜ

£¨3£©£¨4·Ö£©ÒòΪÎïÌåÓë´«ËÍ´øµÄÏà¶ÔÎ»ÒÆ£º

²úÉúµÄÄÚÄÜ£º 

¿¼µã£º¿¼²éÁËÅ£¶ÙµÚ¶þ¶¨ÂÉ£¬¹¦ÄܹØÏµ£¬ÄÜÁ¦Êغ㶨ÂɵÄ×ÛºÏÓ¦ÓÃ

 

Á·Ï°²áϵÁдð°¸
Ïà¹ØÌâÄ¿

Î¥·¨ºÍ²»Á¼ÐÅÏ¢¾Ù±¨µç»°£º027-86699610 ¾Ù±¨ÓÊÏ䣺58377363@163.com

¾«Ó¢¼Ò½ÌÍø