题目内容

做匀变速直线运动的质点,它在第2秒末的速度为4m/s,在第3秒末的速度为6m/s,求:

(1)它的加速度为多少?

(2)它的初速度为多少?

(3)它在第3秒内的位移为多少?

 

【答案】

(1)加速度;(2)(3) 

【解析】

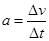
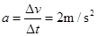
试题分析:(1)加速度  (2分)

(2)根据它在第2秒末的速度为4m/s,由速度公式     (2分)

     (1分)

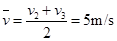
(3)第3秒内的平均速度(1分)

      (2分)

考点:本题考查加速度、匀变速运动速度与时间关系、位移与时间关系。

 

练习册系列答案
相关题目

违法和不良信息举报电话:027-86699610 举报邮箱:58377363@163.com

精英家教网