题目内容
如图所示,三根通电长直导线P、Q、R互相平行,垂直纸面放置,其间距均为L,电流均为I,方向垂直纸面向里.已知电流为I的长直导线产生的磁场中,距导线r处的磁感应强度B = kI/r,其中k为常量.某时刻有一电荷量为q的带正电粒子经过原点O,速度大小为v,方向沿y轴正方向,该粒子此时所受磁场力为
![]()
A.方向垂直纸面向外,大小为![]()
B.方向指向x轴正方向,大小为![]()
C.方向垂直纸面向外,大小为![]()
D.方向指向x轴正方向,大小为![]()
【答案】
A
【解析】
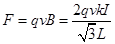
试题分析:O点同时存在三个通电导线产生的磁场,P和Q到O点距离相等,电流大小相等,所以在O点的磁感应强度相等。根据右手定则判断他们在O点产生的磁场方向相反,所以P和Q在O点产生的磁场相互抵消合磁场为0.因此O点只剩下R产生的磁场,根据几何关系,R到O的距离
,在O点产生的磁场方向水平向左,磁感应强度大小
,带正电的粒子沿y轴正向进入磁场,速度方向与磁场方向垂直,洛伦兹力
,方向垂直平面向外,选项A对。
考点:磁场的叠加 洛伦兹力
练习册系列答案
相关题目
A、方向垂直纸面向外,大小为
| ||||
B、方向指向x轴正方向,大小为
| ||||
C、方向垂直纸面向外,大小为
| ||||
D、方向指向x轴正方向,大小为
|