题目内容
如图所示,光滑斜面与水平面在B点平滑连接,质量为0.20kg的物体从斜面上的A点由静止开始下滑,经过B点后进入水平面(设经过B点前后速度大小不变),最后停在水平面上的C点.每隔0.20s通过速度传感器测量物体的瞬时速度,下表给出了部分测量数据.取g=10m/s2.| t/s | 0.0 | 0.2 | 0.4 | … | 1.2 | 1.4 | … |
| v/m?s-1 | 0.0 | 1.0 | 2.0 | … | 1.1 | 0.7 | … |
(1)物体在斜面上运动的加速度大小;
(2)斜面上A、B两点间的距离;
(3)物体在水平面上运动过程中,滑动摩擦力对物体做的功.
【答案】分析:(1)根据表中实验数据,由加速度定义式可以求出物体的加速度.
(2)由加速度定义式求出物体在水平面上的加速度,由速度公式求出物体到达B点的速度、运动时间,然后由位移公式求出AB间的距离.
(3)由动能定理求出滑动摩擦力对物体做的功.
解答:解:(1)物体在斜面上做匀加速直线运动,设加速度为a1,则
a1=
m/s2=5.0m/s2;
(2)设物体滑到B点所用时间为tB,到达B点时速度大小为vB,
在水平面上的加速度为a2,则由数据表可知
a2=
m/s2=-2.0 m/s2,
vB=a1tB,1.1-vB=a2(1.2-tB),
解得tB=0.5s,
设斜面上A、B两点间的距离为xAB,则
xAB=
a1tB2=0.625m;
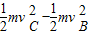
(3)设物体在水平面上运动过程中,滑动摩擦力对物体做的功为Wf,
根据动能定理Wf=
=0-
J=-0.625J;
答:(1)物体在斜面上运动的加速度大小为5.0m/s2;
(2)斜面上A、B两点间的距离为0.625m;
(3)物体在水平面上运动过程中,滑动摩擦力对物体做的功为-0.625J.
点评:应用加速度公式、匀变速运动的速度公式与位移公式、动能定理即可正确解题.
(2)由加速度定义式求出物体在水平面上的加速度,由速度公式求出物体到达B点的速度、运动时间,然后由位移公式求出AB间的距离.
(3)由动能定理求出滑动摩擦力对物体做的功.
解答:解:(1)物体在斜面上做匀加速直线运动,设加速度为a1,则
a1=
(2)设物体滑到B点所用时间为tB,到达B点时速度大小为vB,
在水平面上的加速度为a2,则由数据表可知
a2=
vB=a1tB,1.1-vB=a2(1.2-tB),
解得tB=0.5s,
设斜面上A、B两点间的距离为xAB,则
xAB=
(3)设物体在水平面上运动过程中,滑动摩擦力对物体做的功为Wf,
根据动能定理Wf=
答:(1)物体在斜面上运动的加速度大小为5.0m/s2;
(2)斜面上A、B两点间的距离为0.625m;
(3)物体在水平面上运动过程中,滑动摩擦力对物体做的功为-0.625J.
点评:应用加速度公式、匀变速运动的速度公式与位移公式、动能定理即可正确解题.
练习册系列答案
相关题目